Review Article
Volume-1 Issue-1, 2021
Time Scale of the Collapsing Molecular Cloud using the Virial Temperature
Received Date: January 09, 2024
Accepted Date: February 09, 2024
Published Date: February 12, 2024
Journal Information
Abstract
This paper focuses on the time scale of molecular cloud collapse by examining the correlation between virial temperature, effective temperature, molecular cloud mass, and lifetime. Additionally, it explores the connection between the mass of the collapsing cloud and the duration it takes for the collapse to oc- cur from radius R to r. The findings are then compared with the data catalog VizieR, a 1D model of low-mass star formation, to further analyze the relation- ship between the evolution time of the molecular cloud, mass density, and cloud radius during the collapse process. The results highlight the intricate nature of the relationship between the parameters and properties of star-forming clouds.
Key words
Time scale; Molecular cloud; Gravitating;Cloud collapse
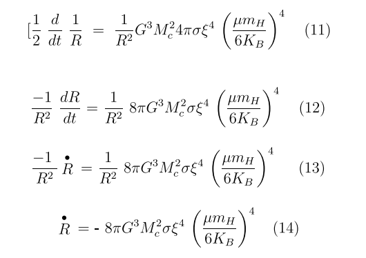
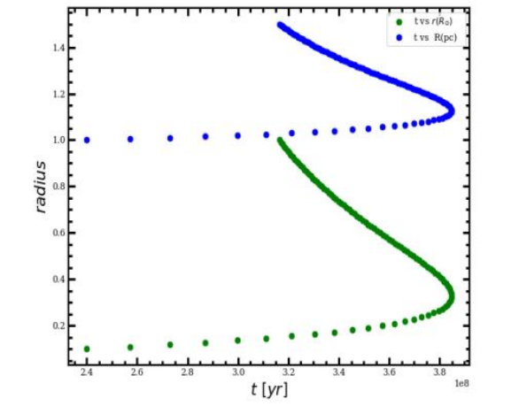
| Figure 1: According to this model, the relationship between the initial radius of a cloud and the core radius formed from it, as well as the time it takes for the formation process, is depicted in this figure. It illustrates that a cloud with an initial radius measured in parsecs (pc) has the potential to collapse and give rise to a core with a radius comparable to that of the sun or less. |
| Figure 2:The relationship between radius and mass in a collapsing molecular cloud is significant. As the cloud condenses and the core mass increases, there is a corresponding reduction in its radius. This phenomenon highlights the interconnected nature of the cloud’s collapse and the growth of its core mass. |
| Figure 3: The relationship between time and the density of a collapsing molecular cloud is a key factor in understanding the evolution of density during the collapse. As the cloud collapses, its density gradually increases over a period of approximately ~ 3.8 × 108 years, reaching its maximum density at around ~ 3.2 × 108 years. This information sheds light on the dynamic nature of collapsing molecular clouds and provides valuable insights into their lifespan and density variations. |
| Figure 4: Time versus mass of the collapsing molecular. This shows how the star forming cloud evolves. The collapse of a cloud occurs more quickly when it has a larger mass, indicating a shorter time required for the process to take place. The maximum life time for this cloud is ∼ 3.8 × 108yr. |
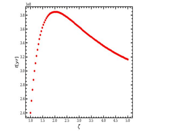
| Figure 5: : Time versus the ratio of effective temperature to Virial temperature. This implies if ξ grows (Teff = ξTv) Virial temperature decreases, simultaneously the time needed for collapse also rises with ξ, then drop after some maximum value. |
Introduction
Molecular clouds are composed mostly of molecular hydrogen. These clouds are the coolest (10 to 20 K) and densest portions of the interstellar medium and range in sizes from ∼ 0.1 pc to ∼ 100 pc in diameter [1-3]. Since these clouds are cooler than most places, they are locations for star formation. Giant molecular clouds (GMCs) and their life cycles are of particular importance to understand and predict the efficiency of star formation in galaxies (SFE) [4]. In particular, the lifetime of molecular clouds that determines the time scale for star formation [4]. The molecular clouds’ diameters range from less than 1 light-year to about 300 light-years (LY) and contain enough gas to form stars.
As the gas core contracts, it heats up due to friction as the gas particles collide with each other. The energy that gas particles have when falling under the influence of gravity (gravitational potential energy) is converted into thermal energy (thermal energy). In this process the the cloud needs time to collapse from initial radius R to a core of radius r.
As stated by [5] Young stellar objects (YSOs) are formed when clouds of gas and dust collapse, but they may not always be visible due to being covered in dust. The physics behind this collapse involves several factors, including the size and time scale of the collapse, as well as the angular momentum and magnetic field. In order to better understand this process, a study was conducted to examine the relationship between the time scale and size or volume of the cloud, which can help estimate how long it takes for a particle to fall from the edge of the cloud to the center [5]. However, due to the long lifespan of giant molecular clouds (GMCs), which can exceed that of humans, indirect methods must be used to study their life cycles.
This extended lifespan is thought to be due to the presence of molecular clouds between the spiral arms [5]. Stars form because gravity pushes the gas and dust of the interstellar medium toward regions of greater density, and radiative cooling keeps temperatures from increasing as density increases, so the pressure can’t stop the collapse. The collapse continues until temperatures and pressures at the center reach a point where nuclear fusion can start, heating enough gas to counterbalance gravity and maintain equilibrium. So, what relationship is there between temperature and time scale? I also need to look at the relationship between the viral temperature and time scale during collapse.
Molecular cloud collapse timescales provide information that is essential for understanding the formation of stars and planets, and the development of stars and the formation of galaxies. One of the most important questions in modern astrophysics and astronomy is how long does it take for clouds of radius R to shrink to a tiny size r to become stars and planets? [6,7] explained that molec- ular clouds may have boundaries, these boundaries are just rapid transitions from the molecular gas to the surrounding atomic gas, which is distributed in extended envelopes that typically have comparable mass [6,7]. A significant amount of warm gas has densities n 4 103cm−3 and temperature between T ≈ 300 − 104 K, whereas gas with densities higher than n 4 103cm−3 found in the densest parts [8]. Such high densities only occur in the inner regions of the clouds with temperatures of T < 100K, which are cold enough to result in active star formation [8]. Therefore, in this dynamic star formation process the clouds of gas collapse to form the central core. This collapsing takes time and depends on temperature as well as the initial mass of the cloud. Following this, this paper aims to calculate the collapsing time scale for the star-forming cloud in terms of the mass and temperature.
Temperatures
The mean temperature at which a gravitationally bound system would satisfy the virial theorem. For a system of mass M
and radius R with constant density, the gravitational energy
per unit mass is [9]. The kinetic energy per
unit mass is E = (3/2) KTvir/µ, where K is Boltzmann’s constant and µ the mean molecular weight. According to the virial
theorem, E= Eg
/2, which leads to the virial temperature Tvir =
(1/3)(GM/KR) [6,7]. Now this sphere is in viral equilibrium,
it will have a certain viral temperature. Consequently I assume that it also emits radiation from the surface and the temperature Tef f which is a fraction ξ of the virial temperature
given by
where ξ is the dimensionless factor which can be quantified from the ratio of effective temperature to the virial temperature. The relationship between the virial temperature and the effective temperature of the collapsing molecular cloud at a certain level is described by Eqn.(1). Because the gas is not perfect thick sphere, thus
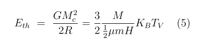
To estimate the Virial temperature (Tv) of this object we be- gan from the gravitational and thermal energies described as:
The gravitational energy, denoted as Eg, plays a crucial role in the possibility of contraction. If energy is emitted, a contraction becomes feasible. According to the Virial theorem, it is revealed that during the collapse of a cloud, half of this energy could have been emitted. Consequently, the potential energy that is radiated away can be determined as follows:
This shows half the change in gravitational energy goes into internal energy the other half gets radiated away. Using the virial temperature Eth is rewritten as:
There is a factor of half here that is the number of particles. Because hydrogen is ionized or one may say that the mean atomic mass is half, thus:
The relationship between the thermal energy of the collapsing cloud and the Virial temperature is demonstrated in Equation (6). This equation indicates that the thermal energy, denoted as Eth, is directly proportional to the Virial temperature, represented as Tv . By equating equations (4) and (6), I obtain the following expression:
This implies Tv ∝ R−1 , mH Tv ∝ Mc. Therefore, this immedi- ately gives us the dependence of the Virial temperature on the mass and radius. Now from eqns. (1), (2)and (7) I obtain:
The object experiences a loss of energy when it emits radiation, resulting in the total energy being equal in magnitude to the thermal energy. If the object continues to lose energy, the thermal energy will increase accordingly. Consequently, I can establish a relationship between the rate of energy loss and the luminosity. By equating the rate of Equation (4) to Equation (8), I obtain:
leads to
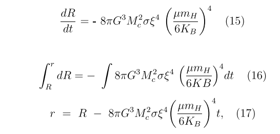
This is the rate of change of radius for the cloud in virial equilibrium when started collapsing. Now using Eqn. (12) to evaluate the time taken by the mass Mc to contract to radius r from initial radius R. Rewriting Eqn.(14) as:
The time at which the object (cloud) of mass Mc contracts to radius r is denoted as t. After a certain period of time, the cloud collapses to radius r. The duration of this process can be affected by the ratio of the Virial and effective temperature.
R = r means the cloud or the sphere of gas is not collapsed. This shows that when R = r the collapse time is zero, which is correct because this time is calculated from the moment the collapse begins. But after a while the collapse starts R differs from r.
Results and Discussions
Gravitational luminosity
Gravitational luminosity is the amount of gravitational energy emitted by the collapsing cloud per unit time. To undergo free fall the gravitational energy of the cloud has to dominate other forms of energy pressures opposing it. Remembering that the gravitational pressure is dominating the counteracting pressures and the MC is falling to the central region. Thus gravitational luminosity is the amount of gravitational energy emitted by the collapsing cloud per unit time. As described in a paper by [20] to undergo free-fall the gravitational energy of the cloud has to dominate other forms of energy pressures opposing it. Consequently, gravitational luminosity is defined as:
where Mc is mass of the initial cloud, R is its radius, Lgt gravitational luminosity and t is the time taken by the pressureless
cloud to be contracted from initial radius R to the pre-stellar
core of radius r, G ≈ 6.67×10−11m3 kg−1 s −2 ( 6.67× 10−8 cm 3 g−1 s−2 ) is the universal gravitational constant, denotes the initial density of the cloud. Therefore, using Eqns.(4) and Eqn.(18) we have:
Simplifying this we arrive at
This gives
Given that any object above absolute zero temperature can
emit radiation, the gravitational energy would be released as
black body radiation if the cloud was optically thick and in
thermodynamic equilibrium. The luminosity of this radiation
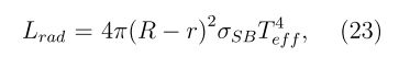
is given by the well-known expression where σSB = 5.67×10−8Js−1 m−2K−4 is Stefan-Boltzmann constant.Here we assume that the emitted radiation comes from the gravitational energy released during the collapse of the cloud from radius R to r. This suggests
that the released energy occurs as the cloud radius decreases
from R to R - r. Therefore, our radiation luminosity equation
becomes
Eqn.(23) shows the gravitational energy released in the form of radiation after the cloud of radius R began collapsing to radius r.
Mass and the Time Scale
Now equating Eqns.(23) and (21) I obtain:
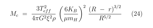
If the mass of the cloud exceeds these values, it will collapse under gravity. Now inserting Eqn.(24) and Eqn.(18)
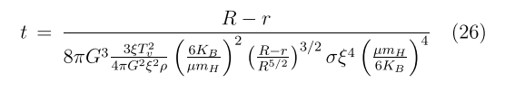
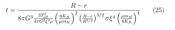
Eqn.(25) shows the collapsing time is depending on many variables. Now from the relation of Tef f and Tv Eqn. 25 becomes:
Eqn.(26) indicates the time scale is complex relation of molecular cloud properties like mass, density, temperature and initial radius. Following this t ∝ Tv-2. Fig.1 shows the collapsing time affect the final core radius in the cloud collapse. The time taken to bring the collapsing molecular cloud from radius R to radius r is indicated in Figure 1.
Figure 2 indicates when the radius of the cloud increases the mass of the mass of the cloud reduces which is in line with the Jeans criteria.
Figure 3 indicates when the collapsing duration elongated the density grows to some maximum value. Figure 4 indicates when the mass of the cloud is relatively large it needs relative shorter time to undergo collapse. The relationship between the ratio of effective temperature to Virial temperature, represented by ξ, and the decrease in Virial temperature is illustrated in Figure 5. As the value of ξ increases, with Teff = ξTv, the Virial temperature experiences a decrease.
Comparison
Using the data of VizieR Online Data Catalog: A grid of 1D low-mass star formation models [10]. Simulations of gravitationally collapsing Bonnor-Ebert spheres, varying the initial mass, radius and temperature of the parent cloud [10].
Figures 6 and 7 provide evidence that clouds characterized by a larger initial radius will endure a more extended period of collapse. The variation between the theoretical prediction and the empirical data can be ascribed to the influence of gravitationally collapsing Bonnor-Ebert spheres.
The temperature of the cloud can be described in various ways according to the theoretical model, and both these descriptions have an impact on the rate at which the cloud collapses. However, it is important to acknowledge the limitations of the model, as well as the underlying assumptions and potential source of inaccuracies that may influence the collapse rate. Furthermore, the upcoming paper should also consider the dynamics of the cloud, including external pressures that can trigger the collapse
Conclusion
As the ratio of effective temperature to Virial temperature, denoted as ξ, increases (where Teff = ξTv), the Virial temperature decreases. Simultaneously, the time required for the collapse of the cloud also increases with ξ, until it reaches a maximum value and then begins to decrease. Consequently, as the Virial temperature decreases, the time needed for the collapse of a cloud with radius R to radius r increases, up to a certain maximum value, and then starts to decrease. Moreover, this time also reflects the evolution of the mass of the
collapsing molecular cloud. However, the evolution of a star-- forming molecular cloud is a complex relationship that relies on various parameters and properties of the cloud. Regardless of the cloud’s location and star-forming efficiency, the effective temperature and Virial temperature play a significant role in governing the collapsing processes of the molecular cloud. Furthermore, it is crucial to consider the inclusion of various factors and dynamic processes that impact the lifespan of the cloud. Hence, I intend to pursue further studies in this area in the future.
Acknowledgements
I would like to express my gratitude to the Space Science and Geospatial Institute (SSGI), Entoto Observatory and Research Center (EORC), Department of Astronomy and Astrophysics for their invaluable support in creating the research environment.
References
- Walch et al. (2010) MNRAS, 402: 2253-63.
- Walch et al. (2017) MNRAS, 467: 922-7.
- Whitworth A. (1979) The erosion and dispersal of massive molecular clouds by young stars. Monthly Notices of the Royal Astronomical Society, 186: 59-67.
- Kennicutt Jr RC, (1998) Star formation in galaxies along the Hubble sequence. Annual Review of Astronomy and Astrophysics, 36: 189-23
- Corbelli E, Braine J, Bandiera R, Brouillet N, Combes F, Druard C et al. (2017) From 130 molecules to young stellar clusters: the star formation cycle across the disk of M 33. Astronomy & Astrophysics, 601: A146.
- Williams JP (2014) and Best, WMJ. ApJ, 788: 59.
- Williams JP, Cieza LA, (2011) ARA and A, 49: 67.
- Bertram E, Konstandin L, Shetty R, Glover SC, Klessen RS, (2015) Centroid velocity statistics of molecular clouds. Monthly Notices of the Royal Astronomical Society, 446: 3777-87.
- Kumssa GM, Tessema SB, (2020) The role of thermodynamic efficiency 135 in setting the star formation efficiency of selfgravitating molecular clouds. Astronomische Nachrichten, 341: 943-50.
- Vaytet N, Haugbolle T, (2016) VizieR Online Data Catalog: A grid of 1D low-mass star formation models (Vaytet+, 2017). VizieR Online Data Catalog, pp.J-A+.
Artcle Information
Review Article
Received Date: January 09, 2024
Accepted Date: February 09, 2024
Published Date: February 12, 2024
World Journal of Advances in Astronomy and Astrophysics
Volume 1 | Issue 1
Citation
Gemechu Muleta Kumssa (2024) Time Scale of the Collapsing Molecular Cloud using the Virial Temperature. Wor J Adv Astronom Astrophy 2: 1-10
Copyright
©2024 Gemechu Muleta Kumssa. This is an open-access article distributed under the terms of the Creative Commons Attribution License, which permits unrestricted use, distribution, and reproduction in any medium, provided the original author and source are credited.
doi: jaaa.2024.1.2101

