Review Article
Volume-1 Issue-1, 2021
Identification of New Phytoconstituents in The Methanolic Extract of the Bark Powder of Terminalia Arjuna: A Versatile Heart Tonic
Received Date: July 18 , 2022
Accepted Date: Aug 16, 2022
Published Date: Aug 18, 2022
Journal Information
Abstract
Since ancient times, plants have been t h e main source of natural medicines and many therapeutic agents. Terminalia arjuna (Arjun) bark powder is widely used in cardiovascular and liver diseases with blood coagulating properties. Its methanolic extract was prepared by Soxhlet apparatus for 6 h. Organic constituents were separated by column chromatography and eluted with different solvents of increasing polarity whereby three compounds with Rf values 0.79, 0.63 and 0.72 were separated by thin layer chromatography (TLC). After purification, the compounds were analyzed for C, H and N contents and identified by infrared (ir) and nuclear magnetic resonance (NMR) spectroscopic studies. Finally, the compounds were confirmed by fragmentation pattern obtained by gas chromatographymass spectrometric (GC-MS) studies. The compounds separated and identified were 1-phenylazo 2-naphthalenol (PAN), 2-isopropyl naphtho [2,3-β] furan-4, 9-dione (INFD) and tartaric acid (TA). It is proposed that PAN and TA may act as ligands to bind with nutrient elements making them bioavailable to the body system.
Key words
Terminalia Arjuna, Methanolic Extract,Phytoconstituents, Thin Layer Chromatography, Gas Chromatography-Mass Spectrometry (GC-MS), Nuclear Magnetic Resonance
Stickiness |
Surface tension |
Molecular mass |
Density |
Chemical formula |
Material |
52 |
20 |
322.43 |
970 |
C16 H35O4 P |
D2 EHPA |
HLB |
Stickiness |
Molecular mass |
Density |
Chemical formula |
Surfactant |
4.3 |
100-200 |
428.60 |
990 |
C24 H44O6 |
80 Span |
Physical properties |
Emulsion |
Feed phase |
Density ( kg) |
904.4 |
998 |
Stickiness( mPa.s ) |
64.0 |
1.0 |
Interphase tension |
11.o |
|
Values |
Parameter |
Surfactant concentration (v/v) % |
8 |
Carrier concentration (M) |
0.05 |
Feed phase ( pH ) |
4.0 |
Internal phase concentration (M) |
1.0 |
Dysprosium metal concentration in the feed phase (ppm) |
50 |
Test number |
The intensity of the impact |
Continuous phase current intensity (Qc) (lit) |
Dispersed phase flow intensity |
1 |
0.8 |
2.3 |
1.5 |
2 |
1 |
2.3 |
1.5 |
3 |
1.2 |
2.3 |
1.5 |
4 |
0.8 |
3.7 |
1.5 |
5 |
1 |
3.5 |
1.5 |
6 |
1.2 |
3.7 |
1.5 |
7 |
0.8 |
5 |
1.5 |
8 |
1 |
5 |
1.5 |
9 |
1.2 |
5 |
1.5 |
10 |
0.8 |
2.3 |
2.3 |
11 |
1 |
2.3 |
2.3 |
12 |
1.2 |
2.3 |
2.3 |
13 |
0.8 |
3.7 |
2.3 |
14 |
1 |
3.7 |
2.3 |
15 |
1.2 |
3.7 |
2.3 |
16 |
0.8 |
5 |
2.3 |
17 |
1 |
5 |
2.3 |
18 |
1.2 |
5 |
2.3 |
19 |
0.8 |
2.3 |
3.7 |
20 |
1 |
2.3 |
3.7 |
21 |
1.2 |
2.3 |
3.7 |
22 |
0.8 |
3.7 |
3.7 |
23 |
1 |
3.7 |
3.7 |
24 |
1.2 |
3.7 |
3.7 |
25 |
0.8 |
5 |
3.5 |
26 |
1 |
5 |
3.7 |
27 |
1.2 |
5 |
3.7 |
K1 |
0.055 |
K2 |
0.013- |
K3 |
0.014- |
K4 |
-0.153 |
K5 |
-0.007 |
K6 |
0.0003 |
K7 |
0.003 |
K8 |
0.001- |
K9 |
0.002 |
K10 |
0.078 |
Test number |
The initial concentration of dysprosium in the |
The final concentration of dysprosium in the |
Actual extraction yield |
Predicted extraction yield (Ex.Predicted)( ) |
Percentage of relative error REEX.(%)( ) |
1 |
40.01 |
0.206 |
0.995 |
0.990 |
0.473 |
2 |
39.88 |
0.598 |
0.985 |
0.988 |
0.351 |
3 |
39.88 |
0.060 |
0.998 |
0.993 |
0.549 |
4 |
40.89 |
0.180 |
0.996 |
0.997 |
0.128 |
5 |
40.89 |
0.084 |
0.998 |
0.995 |
0.269 |
6 |
40.01 |
0.053 |
0.999 |
0.999 |
0.119 |
7 |
40.01 |
0.181 |
0.995 |
0.999 |
0.347 |
8 |
40.28 |
0.084 |
0.998 |
0.997 |
0.050 |
9 |
38.76 |
0.741 |
0.998 |
0.002 |
0.399 |
10 |
36.22 |
0.722 |
0.980 |
0.986 |
0.611 |
11 |
36.68 |
0.720 |
0.980 |
0.985 |
0.454 |
12 |
36.68 |
0.530 |
0.986 |
0.990 |
0.430 |
13 |
35.89 |
0.197 |
0.995 |
0.992 |
0.254 |
14 |
37.42 |
0.176 |
0.995 |
0.991 |
0.448 |
15 |
37.42 |
0.108 |
0.997 |
0.996 |
0.124 |
16 |
38.06 |
0.198 |
0.995 |
0.993 |
0.143 |
17 |
38.06 |
0.117 |
0.997 |
0.992 |
0.465 |
18 |
37.24 |
0.081 |
0.998 |
0.997 |
0.042 |
19 |
37.55 |
0.329 |
0.991 |
0.986 |
0.574 |
20 |
37.55 |
0.625 |
0.983 |
0.985 |
0.176 |
21 |
39.02 |
O.200 |
0.985 |
0.991 |
0.404 |
22 |
38.86 |
0.489 |
0.987 |
0.990 |
0.282 |
23 |
38.73 |
0.482 |
0.988 |
0.990 |
0.230 |
24 |
38.37 |
0.296 |
0.982 |
0.996 |
0.340 |
25 |
38.27 |
0.399 |
0.990 |
0.990 |
0.082 |
26 |
38.11 |
0.392 |
0.990 |
0.990 |
0.036 |
27 |
38.11 |
0.091 |
0.998 |
0.996 |
0.165 |
| Figure 1: Comparing the results obtained from the experimental and predicted relations of extraction efficiency |
| Figure 2:The effect of impact intensity on the extraction efficiency in continuous phase flow intensity of 3.7 liters/hour and according to the intensity of dispersed phase flows of 1.5, 2.3 and 3.7 liters/hour(the concentration of span-80 as a material of surfactant is equal to 2.5 of the concentration of D2EHPA as an extracting ( ) is equal to 0.05, the feed phase is equal to 4, the concentration of the internal phase ( ) is equal to 1, and the concentration of dysprosium metal in the feed phase is equal to 50ppm) |
| Figure 3:The effect of impact intensity on the extraction efficiency in the flow intensity of the dispersed phase 2.3 liters/hour and for the flow intensity of the continuous phase 2.3, 3.7 and 5 liters/hour (The concentration of span-80 as a surfactant is equal to 2.5, the concentration of D2EHPA as an extracting ( ) is equal to 0.05, of feed phase is equal to 4, the concentration of the internal phase ( ) is equal to 1, and the concentration of dysprosium meta |
| Figure 4: Variation of the grain size with various Ag doping concentrations for thin films post annealed under different environment of annealing treatments |
| Figure 5: Variation of the strain in ZnO and ZnO:Ag films annealed under different environments of annealing treatments |
Introduction
Majority of world population especially in the developing countries depend on plant derived traditional or herbal medicines because these are more economic, have least side effects, easily available and are more potent than allopathic medicines. Since ancient times, medicinal plants and its parts such as root, stem, leaves, flower, fruits and seeds have been widely used for the cure of chronic diseases such as diabetes, heart and liver related disorders and skin problems in many countries such as India, China, Brazil, South Africa Malaysia, Algeria etc. Ancient Indian health care system called Ayurveda, evolved more than 2500 years ago, is based on the use of plant kingdom as source of herbal drugs and herbal formulations including bhasmas.
Terminalia arjuna or Arjun belonging to the family Combretaceae, is a large, evergreen, deciduous tree abundantly found in Himalyan belt of India, Myanmar and Sri Lanka [1, 2]. It holds a unique position in Ayurvedic and Unani systems of medicine and is extensively recommended for the treatment of cardiac failure, dropsy, diuretics, Asthmatics and of rheumatoid, arthritis including many critical diseases because of its role as antioxidant, hypotensive, anti-atherogenic, anti-inflammatory, anti-carcinogenic, anti-mutagenic, antibacterial and gastroproductive activity [3]. Arjuna was first introduced by Vagbhata in 7th century and used for the treatment of hemorrhages and ulcers. The bark is also prescribed for biliousness, sores, liver diseases, cancer and as an antidote to poisons. Arjun is also considered as equivalent to the Chinese wonder drug Ginseng, the world’s largest selling herbal product. It is widely recommended for treatment of traumatic injuries associated with odema swelling and its water paste is used for early healing of fractures when applied externally [4]. Its efficacy and advancements have been reviewed and considered as nature’s boon to mankind [5]. Mukherjee et al [6] evaluated wound healing activity of two widely available herbal formulations, Himax ointment and its lotion based on the Arjun bark extract has been found to be comparable with the standard allopathic drug nitrofurazone.
Powdered bark of Terminalia arjuna, contains many useful bioactive compounds such as flavonoids, tannins, phenols, phytosterols, saponins and alkaloids. It has been proposed that triterpenoids are pr i mar i ly responsible for cardiovascular properties of Arjun as it strengthens and maintains heart muscles properly [7]. Maulik and Talwar [8] have discussed therapeutic potential of Terminalia arjuna in cardiovascular disorders. It has been suggested that the bioactive compounds may be responsible for its antioxidant, anti-ischemic,antihypertensive and antihyperterphic effects. It is very good hypocolsteremic, hypolipidemic, anticoagulant, antihypertensive, antithrombotic, antiviral and antifungal agent [9]. Mandal et al [10] studied phytochemical profile of methanolic extract of T arjuna showing antioxidative and antimicrobial properties due to the presence of phenolic compounds, tannins and glycosides. Its bark extract revealed the presence of bioactive constituents exhibiting medicinal and physiological activity. Viswanatha et al [11] evaluated alcoholic extract for antimutagenic activity using micronucleus test in mice [11]. Kaur et al [12] have separated two fractions from acetone extract of T arjuna and evaluated its antimutagenic potential. It was found that one fraction identified as diglycoside of triterpene inhibited mutagenicity. Singh et al [13] have synthesized nanoparticles of Au, Ag, Cu, Pt, Fe and Si with different extracts of T arjuna and evaluated its pharmacological properties for control of various ailments. GC-MS analysis of petroleum ether, ethyl acetate and methanolic extracts have shown to contain 10, 12 and 16 bioactive compounds respectively [14]. Parsodkar and Kalkar [15] quantitatively estimated total phenols, tannins and flavonoids in bark, leaves and fruit extracts in water, methanol and ethanol where bark was found to contain highest content of total phenols and flavonoids. Recently Meena et al [16] have investigated various extracts using a large number of protic and aprotic solvents for the isolation of different bioactive compounds including steroids that may be useful in formulating cost effective herbal medicines for treatment of deoxygenerative human diseases.
Some common formulations of Terminalia arjuna widely marketed in India are; Arjunarishta, Arjunghrita, Arjunkshirpak, besides Arvindasa, Devadravya-arishta etc. Arjunarishta is a decoction medicinal wine prepared from its bark and black raisins used to treat cardiac debility, convalescent patients, bleeding piles, diarrohea and leucorrhoea in the dosage of 2-4 teaspoons twice a day [1]. It is also marketed as powder, in capsules or tablets by various pharmaceutical companies. Devi et al [17] have found its usefulness as gastro protective agent due to its free radical scavenging activity and cytoprotective nature.
In a detailed study of phenolic content and antioxidant activity of some foods and medicinal plants, Bajpai et al [18] have reported high phenolic content in T arjuna resulting in high antioxidant activity. Patnaik et al [19] have reported isolation and characterization of a new triterpenoid glycoside in alcoholic extract from the bark of T arjuna and found it useful for the growth of muscle tissues. Subramaniam et al [20] have reported that T arjuna contains hypolimidemic compounds and flavonoids with high anti-oxidative properties correlated with anti-atherogenic activity of its ethanolic fraction on hypercholestorolemic rabbits. It seems different solvents especially alcohols extract different organic compounds including tannins, alkaloids, carbohydrates, terpenoids, steroids, flavonoids and phenols exhibiting physiological action which may be responsible for the treatment of a variety of ailments [21]. Gaikwad and Jadhav [22] have reviewed various aspects of its ethno medical, phytochemical, pharmacological and clinical relevance to many ailment conditions. In an earlier study we have determined several micronutrients including trace and toxic elements in T arjuna [23]. It has been proposed that the micronutrients present may become complexed with the organic constituents thus making these bioaccessible/bioavailable to our body system.
In view of importance of phytoconstituents in natural herbs used as medicines, we have isolated three organic phytoconstituents in methanolic extract of T arjuna and identified these by elemental analysis, infrared (ir) spectra, proton magnetic resonance (NMR) spectroscopy and gas chromatography-mass spectrometry (GC-MS).
Materials and Methods
Sample collection
The bark sample in powder form was procured from a pharmacy shop in Roorkee city. It was further dried in oven at 80oC for 2 h before extraction.
Extraction of plant material
25 g Terminalia arjuna bark powder was extracted repeatedly with methanol using Soxhlet apparatus for 6 h. At the end,solvent was distilled off whence 6.5 g dried material was obtained.
Separation of organic compounds by Column and Thin layer chromatography
6 g of extract was taken in a glass column of 1.5x45 cm2 packed with 200 g Silica Gel-G (60-120 mesh) from Merck, Mumbai. A series of solvents (petroleum ether, carbon tetra chloride, benzene, ethyl acetate, chloroform, diethyl ether and methanol) were used as eluents in order of their increasing polarity. In all seven fractions were collected as follows; Fraction-1 in petroleum ether/CCl4/benzene (60:30:5) shows a single spot with Rf = 0.79. The solvent was distilled off and a reddish compound (PG1) was recrystallized in acetone (yield, 321 mg).
Fractions-2 to 7 were impure and hence mixed together. From the mixture, solvent was removed to ~5 mL residue. The mixture was subjected to preparative thin layer chromatography (TLC) using 20x20 cm2 glass plates with 1 mm thick layer of Silica Gel (SRL Mumbai) in solvent mixture of CCl4/ CH2Cl2/MeOH (3:3:1) five times. Finally the bands were allowed to develop in iodine chamber. The bands were scrapped out with spatula very carefully and the material was dissolved in dichloromethane. It was then filtered using cotton wad and the solvent was distilled off. Two compounds with Rf values of 0.63 in CHCl3/diethyl ether (10:1) and 0.72 in CHCl3/MeOH (20:1) were obtained. The first compound was obtained as yellowish oil (PG2) while second on recrystallization in methanol yielded sharp white crystals with yield of 79 mg. The compounds PG1 and PG3 showed m. pt of 199oC and 212 oC. Compound PG3 was found soluble in water and gave acid test with litmus paper. A flow sheet of whole separation scheme of three compounds is shown in Fig 1.
All three organic compounds were characterized by elemental analysis, infrared and nuclear magnetic resonance (NMR) spectra and gas chromatography-mass spectrometric (GC-MS) analysis
Instrumentation
Elemental analysis of C, H and N was carried out using Elementar Vario EL III (Germany). Infrared spectra in KBr phase were recorded using Thermo Nicolet (Nexus, USA) FT-IR Spectrophotometer in the range 400-4000 cm-1. NMR spectra due to 1H were recorded in CDCl3 using Bruker av 200 MHz spectrometer.
A Perkin-Elmer Clarus-500 gas chromatograph coupled with a mass spectrometer was used. The compound mixture was separated on a fused silica capillary column (HP-5MS) (5% phenyl methyl siloxane), 30 mmx0.32 mm, 0.25 µm film thickness, in a temperature program from 50 (2 min hold) to 250oC (10 min hold) at a heating rate of 8 oC/min. The injector temperature was 250oC and flow rate of 1 mL/min helium gas. The interface which kept the capillary column end into the ion source block was at 280oC.
Results and Discussion
As already mentioned above, three compounds PG1, PG2 and PG3 were separated from the methanolic extract of T arjuna. These were identified on the basis of elemental analysis, infrared [24] and NMR [25] spectroscopy and finally by GC-MS fragmentation patterns of the compounds. Elemental analysis of C, H and N and the corresponding molecular formulae suggested are as follows.
Compound PG1; It was obtained as reddish crystalline solid, yield 321 mg, m pt 199oC corresponding to Rf = 0.79 in petroleum ether/CCl4/benzene (60:30:5).
Elemental contents: Found: C, 77.9%; H, 5.06%; N, 10.98% corresponds to molecular Formula C16H12N2O (Calcd: 77.4%, 4.83%, and 11.3% respectively).
IR (cm-1) : 3469 (νO-H ), 2917 (νC-H , aromatic), 2843 (νN=N ), 1637 .1H-NMR (CDCl3) at 200 MHz δ : 5.0 (s, 1H, OH), 7.17 (d,1H, Ar), 7.21-7.46 (m, 5H, Ar),
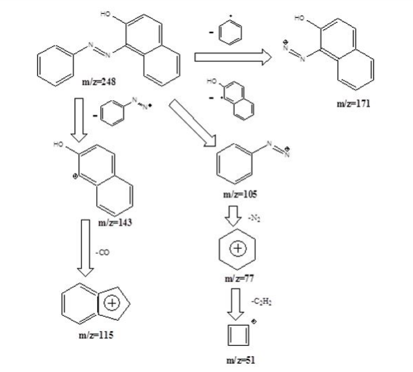
7.53-7.63 (m, 5H, Ar), 7.82-7.93 (m, 3H, Ar) MS at Rt = 9.58 min, m/z (rel. int.) is shown in Fig 2.
M+ 248 (66%, C16H12N2O+), 171 (19%, +C10 H7N2O), 143 (71%, +C10 H7O), 115 (100%, +C9H7), 105(9.2%, +C6H5N2),77(59.9%, +C6H5), 51 (36.2%, +C4H3)
These assignments match well with the possible structure of the compound 1-phenylazo 2- naphthalenol (PAN) with two binding sites, a coordinate bond through N and a covalent bond through O to form a six membered ring with transition metal ions. Its structure with two possible binding sites is shown below
Compound PG1 (PAN)
Formation of various fragments on the basis of mass spectrum is shown below
The compound is an azo dye, commonly known as Sudan Red I, developed in the late 19th century. This is often added in red chili powder and other foods as an adulterant because it enhances their color but it is toxic and known for their potential reduction metabolites. Pan et al [26] evaluated impact of exposure of Sudan dyes on human intestinal bacteria where it affects intestinal ecology and ultimately human health. Vanker et al [27] have reported special treatment for dyeing cotton using bark of T arjuna. Though no efforts were made to identify the dye but we feel that the compound isolated by us may be responsible for dyeing characteristics. Aziz et al [28] studied optical properties of its thin films. Further, its structural characteristics exhibit two binding sites with a coordinate bond through N and a covalent bond through O atoms respectively to form a six membered ring with micronutrient transition metal ions [29].
Compound PG2; It is obtained as yellowish oil, Rf = 0.63 in CHCl3/diethyl ether (10:1). Elemental contents: Found: C, 75.84%; H, 5.20% corresponds to molecular formula C15H12O3 (Calcd: C, 75.0%; H, 5.20%)
IR (cm-1): 2935 (νC-H , aromatic), 2835 (νC-H , aliphatic), 1626 (νC=O), 1508 (νC=C ), 1206 (νC-O asymmetric), 1025 (νC-O, symmetric).
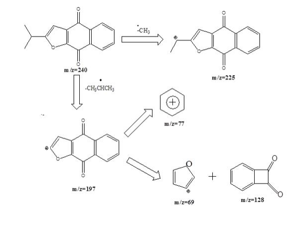
MS at Rt = 9.58 min, m/z (relative intensity) is shown in Fig 3. M+ 240 (59.3%, C15H12O3), 225 (100%, +C14H9O3), 197 (16.2%, +C12H5O3), 77 (24.1%, +C6H5), 69 (34.6%, +C4H5O)
On the basis of these assignments, a possible structure of the compound 2-isopropyl naphtha [2,3-β]furan 4, 9-dione (INFD) is depicted below;
Compound PG2 (INFD)
Formation of various fragments on the basis of mass spectrum is shown below
So far literature reports [3, 5, 10] have indicated several phytoconstituents such as alkaloids, tannins, flavonoids, phenolics, glycosides, triterpenoids in the bark of T arjuna. Recently Uthirapathy and Ahamad [14] have reported somewhat similar compound 2-Furancarboxaldehyde 5-hydroxy methyl with molecular formula C6H5O3 in GC-MS of methanolic fraction of T arjuna. In the present study we are reporting a furanone derivative for the first time. Furanone derivatives are well known to regulate bacterial colonization and the settlement of epibiota. Thus furanones find their application as inhibitors of bacterial and macro-fouling through interference with a key bacterial quorum-sensing pathway [30]. Recently Husain et al [31] have investigated potential of furanone derivatives and suggested them to be the most promising anti-inflammatory, anti-cancer and anti-microbial agents. Samy et al [32] have shown that T arjuna exhibits significant activity against tested bacteria which may be attributed to such furanone analogues that inhibit the expression of bacterial exo-enzymes actively degrading components of immune system.
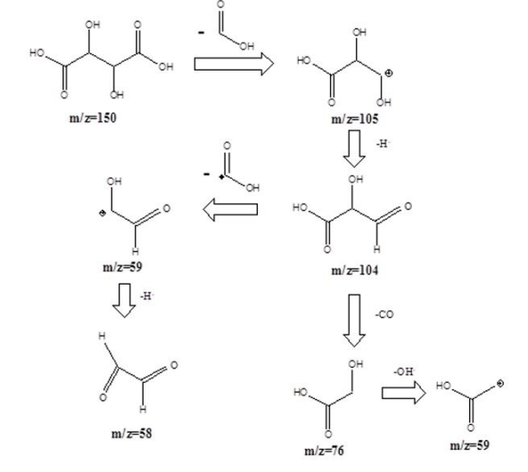
Compound PG3; It was obtained as white crystals, yield 79 mg, m pt 212 oC, Rf = 0.72 in CHCl3/MeOH (20:1). Elemental contents: Found: C, 31.68%; H, 4.20% corresponds to molecular formula C4H4O6 (Calcd: C, 32.0%; H, 4.0%).
IR (cm-1): 3 4 3 7 ( νO-H), 2 6 0 4 ( νC-H , aliphatic); 1 7 3 4 ( νC=O ), 1129 (νC-O, asymmetric), 1078 (νC-O , symmetric).
Formation of various fragments on the basis of mass spectral assignments may be depicted as;
Seemingly typical taste of T arjuna may be attributed to tartaric acid (TA) which is widely distributed in natural products such as grapes, apples, apricots etc. It is a great source of antioxidants that protects body from life threatening diseases in the long run. It has extensive applications as food additive, m e d i c i n e s a n d pharmaceuticals, beverages, cosmetics, agriculture and textiles. It helps boosting immunity, re g u l at e s f l at u l e n c e , improves intestinal absorption, lowers blood pressure, treats urinary infection and acts as antiseptic agent [33]. One of the most surprising benefits is that it significantly improves glucose intolerance. Sun et al [34] have reported coordination between Al+3 and L-tartaric acid as well as non-covalent interactions could form a novel metal organic gel Al-MOG which acts as stable and controllable drug carrier. However, its excess intake may cause nausea, abdominal pain and gastrointestinal infection. Chen et al [35] have determined divalent carboxylic acids in traditional Chinese herbal medicines using a rapid, simple and sensitive high performance liquid chromatography (HPLC) method combined with a novel double cell quartz crystal (DCQC) detector.
It may be noted that compounds 1-phenylazo 2-naphthalenol (PAN) and tartaric acid (TA) both may act as bidentate ligands to bind with micronutrient elements [ 1 9 ] thus p r e s e n t in T arjuna making them bioavailable to our body system. Incidentally Rochelle salt-sodium potassium tartarate is used as laxative.
Conclusion
Arjun (Terminalia arjuna) bark powder is one of the most extensively used herbal tonic for cardiovascular disorders, high blood pressure, cancer, wound healing and other chronic diseases. Its Soxhlet extraction with methanol was subjected to column chromatography followed by thin layer chromatography whence three new phytoconstituents were separated. These were identified by C, H and N analysis, ir and NMR spectroscopic studies and finally by GC-MS fragmentation patterns. The compounds isolated were 1-phenylazo 2-naphthalenol (PAN), 2 - i s o pro py l naphtha [2, 3-β] furan- 4, 9-dione (INFD) and tartaric acid (TA). It is proposed that PAN and TA, having bidentate sites may act as ligands to bind with nutrient elements such as Mn, Fe, Cu, Zn to form chelates thus making them bioavailable to the body system.
Conflict of Interest Statement
The authors declare no conflict of interest.
Acknowledgements
PTG and RPC thank the Ministry of Human Resource and Development (MHRD), Government of India for the award of fellowship and contingency grant.
Author’s contribution
A N Garg- Planning and supervision, editing and reviewing.
P T Gajbhiye- Sample collection, experimental work, draft writing
R P Choudhury- Experimental work, interpretation of spectroscopic data and draft writing.
Graphical Abstract
References
- Paranjpe P (2001) Indian Medicinal Plants; Forgotten Healers Chaukhamba Sanskrit Pratisthan Delhi 19-20.
- WHO (2002) World Health Organization Traditional Medicine Strategy 2002-2005, Geneva 76.
- Amalraj A (2017) Gopi S Medicinal properties of Terminalia arjuna (Roxb.) Wight & Arn: A review. J Trad Compl Med 7: 65-78.
- Chaudhary M, Mengi S (2007) Evaluation of phytoconstituents of Terminalia arjuna for wound healing activity in rats. Phytotherapy Res 20: 799-805.
- Soni N, Singh VK (2019) Efficacy and advancement of Terminalia arjuna in Indian herbal drug research: a review. Trends Appl Sci Res 14: 233-242.
- Mukherjee PK, Mukherjee K, Rajesh Kumar M, Pal M, Saha BP (2003) Evaluation of wound healing activity of some herbal formulations. Phytotherapy Res 17: 265-268.
- Dwivedi S (2007) Terminalia arjuna Wight & Arn.-A useful drug for cardiovascular disorders. J Ethnopharmacol114: 114-129.
- Maulik SK, Talwar KK (2012) Therapeutic potential of Terminalia arjuna in cardiovascular disorders. Am J Cardiovascular Drugs. 12: 157-163.
- Jain S, Yadav PP, Gill V, Vasudeva N, Singla N (2009) erminalia arjuna a sacred medicinal plant: phytochemical and pharmacological profile. Phytochem Rev 8: 491-502.
- Mandal S, Patra A, Samanta A, Roy S, Mandal A, et al. (2013) Analysis of phytochemical profile of Terminalia arjuna bark extract with antioxidatve and antimicrobial properties. Asian Pacific J Trop Biomed 3: 960-966.
- Viwanatha GL, Vaidya SK, Ramesh C, Krishnadas N, Rangappa R (2010) Antioxidant and antimutagenic activities of bark extract of Terminalia arjuna. Asian Pacific J Trop Med 965-970.
- Kaur S, Kumar S, Kaur P, Chandel M (2010) Study of antimutagenic potential of phytoconstituents isolated from Terminalia arjuna in the Salmonella/Microsome assay. Am J Biomed Sci 2: 164-167.
- Singh J, Kumar S, Rathi B, Bhrara K, Chitkara BS (2015) Therapeutic analysis of Terminalia arjuna plant extracts in combination with different nanoparticles. J Materials Nano Sci 2: 1-17.
- Uthirapathy S, Ahamad J (2019) Phytochemical analysis of different fractions of Terminalia arjuna by GC-MS Int Res J Pharmacy 10: 42-48.
- Parsodkar VJ, Kalkar SA (2020) Phytochemical constituents of Terminalia arjuna from Chandrapur district of Maharashtra, India. Int Res J Sci Engng 8; 227-233.
- Meena DK, Sahoo AK, Srivastava PK, Sahu NP, Jadhav M, et al. (2021) On valorization of solvent extracts of Terminalia arjuna (arjuna) upon DNA scissionand free radical scavengingimproves coupling responses and cognitive functions under in vitro conditions. Scientific Reports 11: 10656.
- Devi RS, Narayan S, Vani G, Shyamaladevi CS (2007) Gastroprotective effect of Terminalia arjuna on diclophenac sodium induced gastric ulcer. Chem Biol Interact. 167: 71-83
- Bajpai M, Pande A, Tewari SK, Prakash D (2005) Phenolic contents and antioxidant activity of some food and medicinal plants. Int J Food Sci Nutri 56: 287-291.
- Patnaik T, Dey RK, Gouda P (2007) Isolation of triterpenoid glycoside from bark of Terminalia arjuna using chromatographic technique and investigation of pharmacological behaviour upon muscle tissues. E-J Chem 4: 474-479.
- Subramaniam S, Subramaniam R, Rajapandian S, Uthrapathi S, Gnanamanickam VR, Dubey GP (2011) Anti-atherogenic activity of ethanolic fraction of Terminalia arjuna bark on hypercholestrolemic rabbits. Evidence Based Compl Alternate Med Article.
- Gauthaman K, Mohammed Saleem TS, Ravi V, Patel SS, Devraj SN (2008) Alcoholic extract of Terminalia arjuna protects rabbit heart against ischemic-reperfusion injury:role of antioxidant enzymes and heat shock protein. World Acad Sci Engng Technol 42: 13-28.
- Gaikwad D, Jadhav N (2018) A review on biogenic properties of stem bark of Terminalia arjuna : an update. Asian J Pharm Clin Res 11: 35-3
- Garg AN, Gajbhiye PT, Choudhury RP (2017) INAA of essential micronutrients in Terminalia arjuna bark powder: a versatile heart tonic. J Radioanal Nucl Chem 314: 1539-1545.
- The Aldrich Library of FT-IR Spectra, 2nd edn, Vol 2, Sigma Aldrich Co, USA, 1997, pp 2173.
- Ponchert CJ, Behnke JD. The Aldrich Library of 13C and 1H NMR Spectra, 1st Edn, Vol 2, Aldrich Chemical Co, Inc Ltd USA. 1993; 1147.
- Pan H, Feng J, He G-X, Carninglia CE, Chen H (2012) Evaluation of impact of exposure of Sudan azo dyes and their metabolites on human intestinal bacteria. Anaerobe 18: 445-453.
- Vanker PS, Tiwari V, Shanker R, Srivastava J (2004) Special treatments for dyeing cotton with Terminalia arjuna, Asian Dyer 1: 56-61.
- Aziz MS, El-Mallah HM, Monsour AN (2009) Optical properties of Azo dye (1-phenyl azo-2-naphthol) thin films. Eur Phys J Appl Phys 48: 20401.
- Toropova VP, Budnikov GK, Maistrenko VN (1974) Polarography of complexes of metals with substituted azo compounds III Polarographic behaviour of chelates of some metals with o-hydroxy azo compounds in dimethylformamide. Zh Obshchei Khim 44: 364-367.
- De Nys R, Givskov M, Kumar N, Kjelleberg S, Steinberg PD (2006) Furanones, Progress. Mol Subcell Biol 42: 55-86.
- Husain A, Khan SA, Iran F, Iqbal MA, Asif M (2019) Insights into the chemistry and therapeutic potential of furanones: a versatile parmacophore. Eur J Med Chem 171: 66-92.
- Samy RP, Ignacimuthu S, Sen A (1998) Screening of 34 Indian medicinal plants for antibacterial properties. J Ethnopharmacol 62: 173-82.
- Tartaric acid - an overview, Science Direct Topics 14 Aug 2022.
- Sun XJ, Zhang X, Dong H, Yang DD, Tang HL, et al. (2018) Porous metal organic gel assisted by L-tartaric acid ligand for efficient and controllable drug delivery. New J Chem 42: 14789- 14795.
- Chen P, Zhang Y, Wei W, Yao SZ (2000) Determination of divalent carboxylic acids in traditional Chinese herbal and patent medicines using HPLC with double cell quartz detector. J Pharm Biomed Anal 23: 387-393.
Artcle Information
Review Article
Received Date: July 18 , 2022
Accepted Date: Aug 16, 2022
Published Date: Aug 18, 2022
Journal of Hypertension and Risk Factors
Volume 1 | Issue 1
Citation
Gajbhiye PT, Choudhury RP, Garg AN (2022) Identification of New Phytoconstituents in The Methanolic Extract of the Bark Powder of Terminalia Arjuna: A Versatile Heart Tonic. J Hyper Risk Factors 1: 1-13
Copyright
©2022 Garg AN. This is an open-access article distributed under the terms of the Creative Commons Attribution License, which permits unrestricted use, distribution, and reproduction in any medium, provided the original author and source are credited.
doi: jhrf.2022.1.101

