Review Article
Volume-1 Issue-1, 2023
Minimization of the Constant in Inequalities of Jackson-Stechkin Type and the Value of Widths of Functional Classes in L2
-
Received Date: July 12, 2023
-
Accepted Date: July 12, 2023
-
Published Date: July 15, 2023
Journal Information
Abstract
In this paper, we consider the problem of finding exact inequalities of JacksonStechkin type that are obtained for the average moduli ofcontinuity of mth order (m e N), with general weight function in L2 and also present applications. Ihe exact values of these II-widths are calculated.
Key words
The Space of Lebesgue; Trigonometric Polyno- mials; Weight Function; Ihe Best of Approximation; In. equality, N. Widths
I. Introduction
Let L2 := L2[0, 2π] denote the space of Lebesgue measurable 2π-periodic real functions f with norm
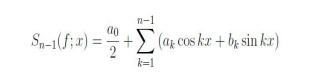
Let 311—1 be the subspace of all trigonometric polynomials of degree n — 1. It is well known that, for any function f E- L2 with Fourier expansion
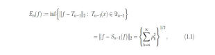
the value of its best approximation in L2 by elements of the subspace ℑn−1 is
where,
is the partial sum of order n − 1 of the Fourier series for the
function f and
Let denote the
norm of the mth.order difference of a
function f e L2: with step h, that is,
Then
defines the mth-order modulus of continuity of a function f e L2
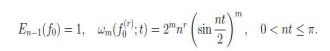
By (r E N; L(0)2 = L2) we denote the set of functions f E L2, whose (r — l)st derivatives are absolutely continuous and fr E L2, In Section 3, in defining classes of functions, we characterize the structural properties of a function f E Lr2 by the rate of convergence to zero of the modulus of continuity of its rth derivative f(r), defining this rate in terms of the majorant of some averaged quantity ωm(f(r); t).
Related Extremal ProblemsExtremal problems in the theory of approximation of differentiable periodic functions by trigonometric polynomials in the L2 space involve the determination of sharp constants in inequalities of Jackson-Stechkin type
is smaller than the Jackson functional ωm(f, π/n) and, is apparently more natural for characterizing best approximations En−1(f) of periodic functions in L2.
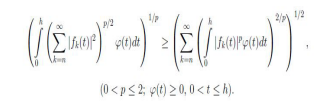
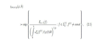
Given these considerations Ligun [2] studied extremal characteristics of the form (in what follows the ratio 0/0 is set equal to zero):
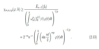
where m, n e N; r Z+; O < h 6 rt/n; 9(t)> 0 is integrable on the segment [0, h]. He showed that
In order to generalize the results of [2], using the scheme of reasoning in Pinkus [3, pp.104-107], Shabozov and Yusupov [4] introduced the extremal characteristic
where is
integrable on
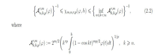
the segment [O, h], and for O < p 6 2 proved the inequality
In the calculation of the exact values of the n-widths of classes of functions directly from (2.1), and in connection with the accuracy of (2.2) there is a need to establish the equality
for any positive integrable functions φ on the segment [0, h]. In general, the verification of (2.3) is not always possible. For some specific weight functions φ, condition (2.3) is proved in [5]. Obviously, equation (2.3) depends on the structural properties of the weight function φ. A natural question arises: what structural and differential properties must a function φ have in order to satisfy (2.3)? The answer to the question is contained in the following statement.
Theorem 2.1:Suppose
that the weight function φ (t) defined on
[0, h] is non-negative and continuously differentiable
thereon. If,
for and
every t E [0, h] we have
(rp − 1)φ(t) − tφ'(t) ≥ 0, (2.4)
then, for any m, n e N and Wn we have the equality
There is a function const, realizing the upper
bound in (2.1) equal to (2.5).
Proof:We use the following simplified version of Minkowski’s inequality [3, p.104]
Indeed, bearing in mind that for any function f E L(r)2 we have the relation [10]
is a strictly increasing function in the domain Q = { x : x ≥ 0 } and, hence,
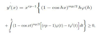
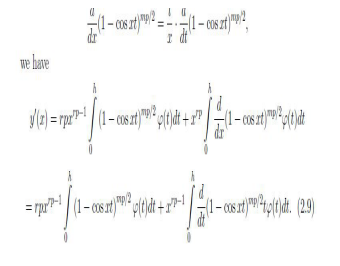
Indeed, differentiating (2.7) and using the elementary identity
Integrating by parts in the last integral of (2.9), the inequality (2.4), we finally obtain
which implies the relation (2.8)
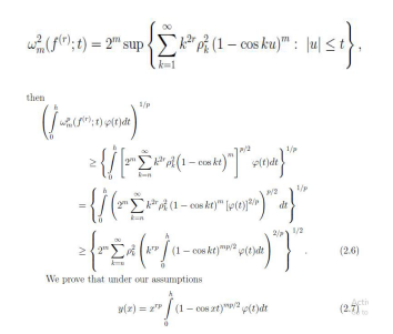
Therefore continuing inequality (2.6), we have
Since the last inequality holds for any f L (r) 2 we have an upper bound for (2.5):
The lower bound in (2.5), valid for all 0 < h ≤ π/n, is obtained by using the function fo(x) cos nx e L(r)2 . We have
Thus
Equation (2.5) is a consequence of (2.11) and (2.12). This completes the proof of Theorem 2.1.
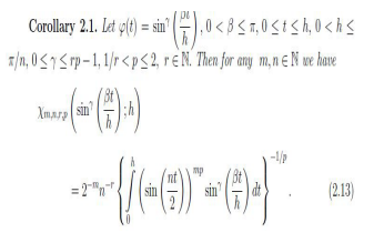
As a particular case of Theorem 2.1 we have:
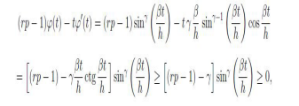
Proof:The parameter values p, r, β, γ, h as in the statement of Corollary 2.1 suffice to verify (2.4). We have
because for the values of the above parameters
This proves Corollary 2.1.
Corollary 2.1 contains, in particular, the results of [4-8] for different parameters p, γ, β and h.
The Statement of the Main ResultsWe recall the necessary concepts and definitions which will be used later. Suppose that S = {v: ||V|| ≤ 1} is the unit ball in L; is a convex centrally symmetric subset from It; L2; ΛNCL2 is an N.dimensional subspace; ΛN CL2 is a subspace of codimension N; L : L2 + ΛN is a continuous linear operator taking elements of the space L2 to ΛN; and L : L2 + ΛN is a continuous linear projection operator from L2: onto ΛN, The quantities
are called, respectively, the Bernstein, Gelfand, Kolmogorov, linear, and projection N-widths in the space L2 . Since L2 is a Hilbert space, the N-widths listed above are related by (see, e.g., [3]):
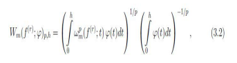
We shall denote by Wm(f(r); φ)p,h, m E N u {0},0 < p ≤ 2, O ≤ π the pth mean value of the modulus of continuity of mth order of functions f(r) with weight φ(t) :
and, by L(r)2 (m, p, h; φ) we designate the set of functions f E L(r)2 for which Wm(f(r); φ)p,h ≤ ω(f(r); h),
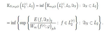
where C(m, r, p, h) is a positive constant that depends on the values of the parameters in parentheses. With this notation, the search for the smallest constant in the Jackson-Stechkin inequality is equivalent to the problem of computing the exact upper bound
Here we will look for the lowest constant relative to the entire
set of the spaces ℑN CL2 of fixed dimension N. This will show that the result can not be improved upon by switching to another subspace of the same dimension
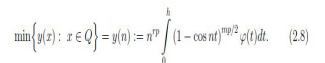
We also put
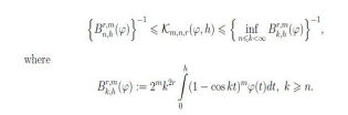
Proposition 3.1:Suppose that h, p > 0, r ℤ+,.. m, n ∈ N. Then the following inequality holds
Proof. If f ∈ L(r)2, φ(t)≥0 is integrable on the segment [O. h] and, Wm(f(r), φ)p,h = α > 0 then for f1(x) = α−1 f(x), we have Wm(f(r)1 , φ)p,h = 1. Given the positive homogeneous functional E(f, ℑ N )2 and Wm(f(r) , φ)p,h, for any 0 < p ≤ 2 and a fixed h> 0 we have
Through (3.4) the lower bound over all subspaces ℑN ⊂ L2 dimension N we obtain
On the other hand, for any function L(r)2 ∈ (m, p, h; φ) bydefinition of the class L(r)2 (m, p, h; φ) have an inequality of the form
and as this is true for every subspace ℑN ⊂ L2 then
Proposition 3.1 follows from (3.5) and (3.6).
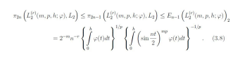
Theorem 3.1. Suppose that the weight function φ (t) defined on the segment [0, h] is non-negative and continuously differentiable thereon. If for some r ∈ ℕ, 1/r < p ≤ 2, and any t ∈ [0, h], we have
then, for any m, n ∈ ℕ and 0 < h ≤ π/n
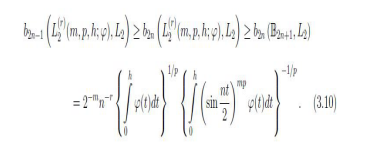
where δk(·) are any of the k-widths: Bernstein bk(·), Kolmogorov dk (·), linear λk (·), Gelfand dk (·) or projection πk (·). All k–widths are attained by taking the partial sums of the Fourier series Sk−1(f;t).
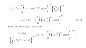
Proof:From (2.10) and since (3.7) holds, it follows that
Hence, for the width of the projection of class L(r)2 (m, p, h; φ), we obtain an upper bound
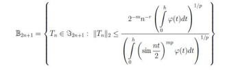
In order to obtain a lower bound for the Bernstein n-width of L(r)2 (m, p, h; φ) we consider the ball
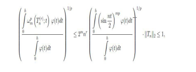
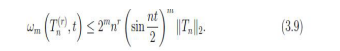
in the (2n+1)–dimensional subspace ℑ2n+1 of trigonometric polynomials and show that 𝔹2n+1 ⊂ L(r)2 (m, p, h; φ). In [7] it is proved that for an arbitrary polynomial Tn ∈ ℑ2n+1 for 0 < h ≤ π/n, the inequalit
Elevate both sides of (3.9) to the to the power p, multiply by φ and integrate the result over t in the range from 0 to h. Whence we obtain directly
from which 𝔹2n+1 ⊂ L(r)2 (m, p, h; φ). By the definition of the Bernstein n-width we obtain the lower bound
This completes the proof of Theorem 3.1.
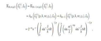
As a particular case of Theorem 3.1 we have a result found in [5]. Namely,
Corollary
3.1:Let
Then the following inequality holds
where δk(·) are any of the above-listed k-widths
VII.References
- Chernykh NI (1967) On the best L2-approximation of periodic function by trigonometric polynomials. Mat. Zametki 2: 513-22 (in Russian).
- Ligun AA (1978) Exact inequalities of jackson type for periodic functions in space L2, Mat. Zametki 24: 785-92 (in Russian).
- Pinkus A (1985) n-Widths in Approximation Theory, SpringerVerlag, Berlin, Heidelberg, New York, Tokyo.
- Shabozov MSh, Yusupov GA (2011) Best Polynomial Approximations in L2 of Classes of 2π–Periodic Functions and Exact Values of Their Widths, Mat. Zametki 90: 764-75 (in Russian).
- Shabozov MSh, Yusupov GA (2012) Widths of Certain Classes of Periodic Functions in L2, Journal of Approximation Theory 164: 869-78.
- Taikov LV (1979) Structural and constructive characteristics of function from L2, Mat. Zametki 25: 217-23 (in Russian).
- Yusupov GA (2013) Best polynomial approximations and widths of certain classes of functions in the space L2, Eurasian Math. J 4: 120-6.
- Yusupov GA (2014) Jackson’s – Stechkin’s inequality and the values of widths for some classes of functions from L2, Analysis Mathematica 40: 69-81.
Artcle Information
Review Article
Received Date: July 12, 2023
Accepted Date: June 12, 2023
Published Date: July 15, 2023
Journal of Information Security and its Applications
Volume 1 | Issue 1
Citation
Gulzorkhon Amirshoevich Yusupov (2023) Minimization of the Constant in Inequalities of Jackson-Stechkin Type and the Value of Widths of Functional Classes in L2.J. Inf. Secur. Appl. 1-7
Copyright
©2024 Gulzorkhon Amirshoevich Yusupov. This is an open-access article distributed under the terms of the Creative Commons Attribution License, which permits unrestricted use, distribution, and reproduction in any medium, provided the original author and source are credited.
doi: jisa.2023.1.1101

