Review Article
Volume-1 Issue-1, 2025
The Role of RORα/γ Agonist SR1078 in Reversing Cardiac Hypertrophy Through Thyroid Hormone Signaling in NRVMs
-
Received Date: July 06, 2025
-
Accepted Date: July 23, 2025
-
Published Date: July 30, 2025
Journal Information
Abstract
Background: Heart failure is the leading cause of death in cardiovascular diseases. Various factors that caused cardiac hypertrophy and pathological remodeling are the core mechanism of heart failure. Recent evidence suggested that RORs play protective roles against cardiac hypertrophy. However, it's not clear whether RORα/γ agonist SR1078 has a therapeutic effect on cardiac hypertrophy.
Methods: Norepinephrine induced neonatal rat ventricular myocytes (NRVMs) were treated with or without SR1078. mRNA levels of ANP and BNP were detected by qRT-PCR, size of NRVMs was demonstrated by immunofluorescent staining, and RNA sequencing was performed to identify the differentially expressed genes. Differentially expressed genes were defined as FDR≤ 0.001 and a fold change ≥ 2. KEGG analysis was utilized to analyze the metabolic pathways involved.
Results: SR1078 can repress norepinephrine induced ANP and BNP mRNA levels and reverse cardiac hypertrophy in NRVMs. Venn diagram demonstrated that there were 79 differentially expressed genes. KEGG analysis showed that thyroid hormone signaling was enriched in these genes. RXRα, Pln, and Ncoa2 were significantly and differentially expressed genes in thyroid hormone signaling and were further confirmed by qRT-PCR.
Conclusion: RORα/γ agonist SR1078 has a potential therapeutic role in cardiac hypertrophy and could reverse hypertrophy through thyroid hormone signaling.
Key words
Cardiac Hypertrophy; RNA Sequencing;SR1078; Thyroid Hormone Signaling
List of abbreviations:
NRVM: neonatal rat ventricular myocyte; ROR: Retinoic acid receptor-related orphan receptor; GO: Gene Ontology; KEGG: Kyoto Encyclopedia of Genes and Genomes; RXRα: retinoid X receptor family; Pln: Phospholamban; Ncoa2: Nuclear coactivator 2
Genes |
Primers (5' to 3') |
ANP |
|
Forward |
AGGGCTTCTTCCTCTTCCTG |
Reverse |
TCCAGGTGGTCTAGCAGGTT |
BNP |
|
Forward |
GCAGAAGATAGACCGGATCG |
Reverse |
AGAGCTGGGGAAAGAAGAGC |
RXRα |
|
Forward |
GCATGAAGCGGGAAGCCGTGCA |
Reverse |
ACAGCGAGCTCAGCTTCCAGAA |
PLN |
|
Forward |
CACCCGTAAGACTTCATACAACACAAT |
Reverse |
GCTGAGCGAGTGAGGTATTGGAC |
NCOA2 |
|
Forward |
CTGTGAAGGAGGAGGTGAGC |
Reverse |
TCCAAAATCTCTTCCAAGTTGTC |
Gene name |
Control (FPKM) |
NE (FPKM) |
SR (FPKM) |
NE+SR (FPKM) |
log2(NE/Control) |
log2(NE |
RXRa |
26.76 |
11.75 |
16.2 |
24.95 |
-1.19 |
1.09 |
Pln |
15.97 |
130.54 |
33.94 |
39.78 |
3.03 |
-1.71 |
Ncoa2 |
4.61 |
1.00 |
1.74 |
2.12 |
-2.20 |
1.08 |
| Figure 1: SR1078 reversed norepinephrine-induced cellular hypertrophy and repressed ANP and BNP mRNA expression |
| Figure 2:Dierential gene expression |
| Figure 3:Gene Ontology analysis |
| Figure 4: Kyoto Encyclopedia of Genes and Genomes analysis |
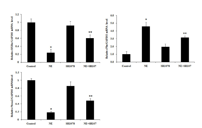
| Figure 5: RXRα, Pln, Ncoa2 mRNA expression changes validated by qRT-PCR |
Introduction
Heart failure is the leading cause of death in cardiovascular diseases and affects more than 64 million people worldwide [1]. Various factors, including heart injury, volume load, pressure load, neuroendocrine factors, inflammation, that caused cardiac hypertrophy and pathological remodeling are the core mechanism of heart failure [2]. Understanding the molecular basis of cardiac hypertrophy is crucial for the prevention and treatment of heart failure. Studies demonstrated that cardiac hypertrophy and heart failure are associated with a stereotypical exchange of gene expression programs driven by key transcription factors [3].
The retinoic acid receptor-related orphan receptors (RORα, β, and γ) are members of the nuclear receptor superfamily of transcription factors. RORα/γ are widely expressed in the liver, skeletal muscle, fatty tissue, and heart, regulating a range of pathological processes including the circadian rhythm, immunity, metabolism, tumor, and development [4,5]. Recently, the role of RORα in cardiovascular diseases is drawing attention. Under the condition of ischemia/reperfusion injury, RORα deficient stagger (RORαsg/sg) mice resulted in significantly increased myocardial infarct size, myocardial apoptosis and exacerbated contractile dysfunction when compared with wild type littermates [6]. Loss of RORα promoted angiotensin II induced cardiac hypertrophy, impaired systolic function and cardiomyocyte mitochondrial function in staggerer mice [7,8].These results suggest that RORα is an important mediator of cardioprotection and a novel endogenous protective receptor against cardiac hypertrophy. Based on these data, enhancing RORα activity with a synthetic agonist may be efficacious in improving cardiac hypertrophy.
SR1078, a synthetic agonist for RORα/γ with mixed RORα/γ activity, directly binds to the ligand-binding domain of RORα/γ and increases the transcriptional activity of RORα/γ [9]. The role of SR1078 in cardiac hypertrophy has not been revealed. RNA sequencing can be used to identify significantly differential expression genes [10]. In this study, norepinephrine stimulated neonatal rat ventricular myocytes (NRVMs) were treated with SR1078, and then differentially expressed genes were identified by RNA sequencing. The expression levels of differentially expressed genes in significant pathways associated with cardiac hypertrophy were confirmed by qRT-PCR.
Material and Methods
Cell Culture
NRVMs were isolated from the hearts of 2-day-old Sprague-- Dawley rat pups (from the Animal Center of the Second Xiangya Hospital, Central South University). The experiment was approved by the Animal Ethics Committee of the Second Xiangya Hospital. Ventricular tissues were digested by a mixed enzyme solution (0.4% type II collagenase: 0.125% trypsin = 2:1) for 15 min, then the supernatants were removed. This step was replicated three times, then cell suspension was centrifuged at 1000 rpm for 5 min. The cells were resuspended in DMEM medium (Hyclone, GE Healthcare) supplemented with 10% FBS (Gibco, Thermo Fisher Scientific, Inc. Waltham, MA, USA), 100 U/ml penicillin-streptomycin, and 2 mM L-glutamine, and preplated for 1.5 hr (37 , 5% CO2). The nonattached cells were collected as NRVMs and replated with 48 hr exposure to 0.1 mM BrdU to suppress nonmyocytes. Cells were divided into four groups with three samples in each group. Control group: NRVMs were incubated with vehicle; NE group: NRVMs were incubated with norepinephrine for 48 h; SR group: NRVMs were incubated with SR1078 for 24 hr; NE and SR group: NRVM were incubated with 50 μM SR1078 for 24 hr, followed by stimulation with 10 μM norepinephrine for 48 hr.
Immunofluorescent Staining
Cells were plated on the slide, washed three times with PBS, and fixed with 4% polyformaldehyde for 30 min. Travertine was added for penetration (37 , 30 min). Cells were incubated with α-actin (Proteintech Group, Inc, USA, dilution fold 1:50) overnight (4 ) and washed three times with PBS. FITC labeled Goat Anti-Rabbit IgG (H+L) (Proteintech Group, Inc, USA; dilution folds 1:200) was added and incubated for 90 min (37 ). Nuclear was dyed with DAPI (37 ) for 10 min. Cell climbing film was viewed under a fluorescent microscope.
RNA Extraction,Llibrary Construction, and RNA Sequencing
Total RNA of NRVM was extracted by TRIzol reagent (Invitrogen Life Technologies, USA). Double-stranded and single-stranded DNA in total RNA was dissociated by DNase I. Magnetic beads were purified to recover reaction products. rRNA was removed by RNase H (Illumina, USA). The purified mRNA was obtained and fragmented into small pieces by a fragment buffer. Subsequently, the first-strand cDNA was synthesized in First-strand Reaction System, as well as the generation of second-strand cDNA. Reaction products were purified by magnetic beads. Afterward, incubation of A-Tailing Mix and RNA Index Adapters was performed on terminal repair. PCR was utilized to amplify the cDNA fragments with adapters, and the products were purified by Ampure XP Beads. The double-stranded PCR products were heated denatured and circularized through splint oligonucleotide sequence. Subsequently, the single strand circle DNA (ssCir DNA) was produced as the final library, which was amplified with phi29 (Thermo Fisher Scientific, MA, USA) to produce DNA nanoball (DNB) with more than 300 copies of one molecule. The DNBs were loaded into the patterned nanoarray, and single end 50 bases copies were produced on BGISEQ500 platform (BGI-Shenzhen, China).
Analysis of Differential Expression
Raw reads were filtered to clean reads by Trimmonmatic scripts and Q20, Q30, and GC enrichment were analyzed. Genome reference annotations and files were obtained from the genome website. The reference genome index was created by Bowtie2 version 2.2.5 (http://bowtie-bio.sourceforge.net/bowtie2/index.shtml). Subsequently, paired-end clean reads were aligned to the reference genome by using HISAT2 version 2.1.0 (http://www.ccb.jhu.edu/soft- ware/hisat) [11].Then the fragments per kilobase of exon per million fragments mapped (FPKMs) of genes in each sample were analyzed through Cuff diff. The FPKM was calculated based on the length of fragment and corresponded to the amount of the reads mapped to the fragment. Differentially expressed genes were analyzed by Possion Dis. Genes with FDR≤ 0.001 and a fold change ≥ 2 were determined as differential expression. Volcano plots were used to determine the differential expression genes, and Venn diagram of differentially expressed gene was used to identify differential expression genes among groups.
GO and KEGG Enrichment Analysis
Gene Ontology (GO) is used to analyze gene function. GO enrichment analysis was performed by GOseq R package (https://en.wikipedia.org/wiki/Hypergeometric _distribution). A corrected p< 0.01 was regarded as statistically significant differences. Kyoto Encyclopedia of Genes and Genomes (KEGG) is a database used for metabolic pathways analysis [12]. Enrichment of differentially expressed genes in KEGG pathways was analyzed by R package Phyper function (https://en.wikipedia.org/wiki/ Hypergeometric_distribution).GO and KEGG terms with a corrected p< 0.01 were defined to be statistically significant differences.
qRT-PCR
Three most significantly differential expression genes in the thyroid hormone signaling pathway were identified. The primers in the study were shown in Table 1. In this study, SYBR Green dye (New Probe, Beijing, China) was used as a fluorescent probe. The real-time PCR was conducted at 95 °C for 10 min, 40 cycles at 94 °C for15 s, and 60 °C for 60 s. The number of cycles in every sample to get the set threshold signal was recorded during the qRT-PCR. The 2−ΔΔCt method was utilized to analyze the relative fold change of the transcripts [13], and the endogenous mRNA level of GAPDH was applied for internal standardization.
Statistical Analysis
Statistical analysis was performed by using SPSS 17.0. Data are expressed as the mean±standard deviation (SD). Differences between mean values were compared by Independent Sample t-tests between two groups. P< 0.05 was regarded as statistically significant differences.
Results
SR1078 Ameliorated Norepinephrine-induced Hypertrophy of NRVMs
As shown in Figure1, the size of NRVMs was enlarged and mRNA levels of ANP and BNP were increased by norepinephrine compared with control group. However, cotreatment of SR1078 and norepinephrine decreased the size of NRVMs, ANP and BNP mRNA expression levels.
Differentially Expressed Genes
There were 1464 differentially expressed genes with fold change ≥2 and FDR<0.001 between the Control group and NE group, among which 443 genes were upregulated and 1021 genes were downregulated. There were 109 differentially expressed genes between NE group and NE+SR group with fold change ≥2 and FDR<0.001, among which 49 genes were upregulated and 60 were downregulated. In Figure2A and 2B, the volcano plot was applied to demonstrate an overview of differentially expressed genes. As shown in Figure 2C, the venn diagram demonstrated that there were 79 differentially expressed genes between control vs. NE group and NE vs. NE+SR group.
GO Analysis
The functional classifications of the 79 differentially expressed genes were demonstrated by GO analysis. GO terms involving cellular components, biological processes, and molecular functions were presented in Figure 3A. The column is longer, the GO term is more significant difference. The top 20 most enriched GO terms were shown in Figure3B. The size of the dots represented the number of mapped genes. The rich factor represented the degree of enrichment. As the rich factor is larger, the degree of enrichment is greater. The q-value is closer to 0, the enrichment is more significant.
KEGG Analysis
KEGG pathway enrichment was utilized to analyze the 79 differentially expressed genes in the associated signaling pathways. KEGG terms involving cellular processes, environmental information processing, genetic information processing, human disease, metabolism, organismal systems were shown in Figure 4A. As the column is longer, the KEGG term is more significant difference. The top 20 enriched pathways were shown in Figure 4B, including thyroid hormone signaling, a crucial pathway in cardiac hypertrophy.
Thyroid Hormone Signaling and qRT-PCR Validation
Thyroid hormone signaling was targeted in signaling analysis. As shown in Table 2, RXRα, Pln, and Ncoa2 were defined as significantly differential expression genes in thyroid hormone signaling. qRT-PCR was performed on the three significantly differentially expressed genes. As shown in Figure 5, the qRTPCR results were in accordance with the results of RNA sequencing. RXRα and Ncoa2 were downregulated in norepinephrine treated NRVMs, and preserved by cotreatment of norepinephrine and SR1078, whereas Pln was upregulated in norepinephrine treated NRVMs, and decreased by cotreatment of SR1078. These results suggested that thyroid hormone signaling is associated with SR1078 reversed cardiac hypertrophy.
Discussion
In the present study, RORα/γ agonistSR1078 can reverse cardiac hypertrophy. RNA sequencing revealed the role of SR1078 in ameliorating cardiac hypertrophy by thyroid hormone signaling. RNA sequencing and RT-PCR demonstrated that RXRα, Pln, and Ncoa2 were recognized as significantly differential expression genes in thyroid hormone signaling.
Thyroid hormone signaling controls fundamental biological process and plays an important role in the cardiovascular system involving cardiac contractile effects, electrophysiological function, and cardiac structure. Changes in plasma or tissue thyroid hormone levels are associated with significant changes in cardiovascular function [14].Thyroid hormones enhance left ventricular systolic and diastolic function and affect electrophysiological function [15]. Prolonged exposure to increased thyroid hormones stimulates cardiac protein synthesis and leads to cardiac hypertrophy. Thyroid hormone signaling is supposed to be a potential target for heart failure therapy.
KEGG analysis demonstrated that thyroid hormone signaling was enriched pathway in SR1078 reversed cardiac hypertrophy in the present study. There are three genes involved: RXRα, Pln, and Ncoa2. RXRα, also called NR2B1, belongs to retinoid X receptor family (RXR). RXRα homodimerizes with itself or heterodimerizes with other nuclear receptors, including thyroid hormone receptor, to regulate target gene expression [16]. RXR selective ligands can repress serum thyroid hormone levels [17]. Phospholamban (Pln) is a suppressor of the Ca2+APTase of cardiac sarcoplasmic reticulum (SERCA2a). Thyroid hormones upregulate the expression of SERCA2a and downregulate the expression of Pln [18]. Elevated thyroid-stimulating hormone inhibited SERCA2a expression by inhibiting protein kinase A/ phospholamban signaling pathway, contributing to the development of cardiac function [19]. Nuclear coactivator 2 (Ncoa2), a transcription coactivator for nuclear hormone receptors, modulates thyroid hormone action and regulates thyroid hormone receptors expression [20,21]. In our study, RNA sequencing and RT-PCR results demonstrated that RXRα, Ncoa2 involving thyroid hormone signaling were downregulated in norepinephrine treated NRVMs, and preserved by cotreatment of norepinephrine and SR1078, whereas Pln was upregulated in norepinephrine treated NRVMs, and decreased by cotreatment of SR1078.
Many of the new pharmacological strategies were utilized targeting nuclear receptors (NRs). A better understanding of the function of these receptors represents new opportunities for therapeutic progress. A previous study demonstrated that RORα/γ inverse agonist SR1001 effectively reduced plasma low density lipoprotein (LDL) level in LDL-R-/- mouse, suggesting the role of RORα/γ for treatment of atherosclerosis [22]. RORα had a protective role against angiotensin II-induced cardiac hypertrophy. In the present study, RORα/γ agonist SR1078 reversed norepinephrine induced hypertrophy in NRVMs. These results suggested that SR1078 had a potential therapeutic role in cardiac hypertrophy through regulating thyroid hormone signaling. However, this study is in vitro, more researches in vivo are needed to confirm the effect and reveal the mechanism of SR1078 in ameliorating cardiac hypertrophy.
In conclusion, RORα/γ agonist SR1078 has a potential therapeutic role in cardiac hypertrophy and can reverse norepinephrine induced hypertrophy in NRVM through thyroid hormone signaling.
Data Availability
The data used to support the findings of this study are available from the corresponding author upon request.
Compliance with Ethical Standards
Ethical Approval
All applicable international, national, and/or institutional guidelines for the care and use of animals were followed. This article does not contain any studies with human participants performed by any of the authors.
Conflicts of Interest
The authors declare that they have no conflicts of interest.
Funding Sources
This work is supported by grants from the Natural Science Foundation of Hunan Province in China (2023JJ30812).
Author Contributions
Runmei Zou and Cheng Wang conceived the idea, analyzed the data, and drafted the manuscript, Hong Cai and Yuwen Wang conducted the experiment
References
- Savarese G, Becher PM, Lund LH, Seferovic P, Rosano GMC, Coats AJS (2023) Global burden of heart failure: a comprehensive and updated review of epidemiology. Cardiovasc Res, 118: 3272-87.
- Schirone L, Forte M, Palmerio S, Yee D, Nocella C, Angelini F, et al. (2017) A Review of the Molecular Mechanisms Underlying the Development and Progression of Cardiac Remodeling. Oxidative medicine and cellular longevity, 2017: 3920195.
- Luo Y, Jiang N, May HI, Luo X, Ferdous A, Schiattarella GG, et al. (2021) Cooperative Binding of ETS2 and NFAT Links Erk1/2 and Calcineurin Signaling in the Pathogenesis of Cardiac Hypertrophy. Circulation, 144: 34-51.
- Cook DN, Kang HS, Jetten AM (2015) Retinoic Acid-Related Orphan Receptors (RORs): Regulatory Functions in Immunity, Development, Circadian Rhythm, and Metabolism. Nuclear receptor research, 2.
- Gu H, Hu P, Zhao Y, Liu Y, Wang YT, Ahmed AA, et al. (2022) Nuclear Receptor RORalpha/gamma: Exciting Modulators in Metabolic Syndrome and Related Disorders. Front Nutr, 9: 925267.
- He B, Zhao Y, Xu L, Gao L, Su Y, Lin N, et al. (2016) The nuclear melatonin receptor RORalpha is a novel endogenous defender against myocardial ischemia/reperfusion injury. Journal of pineal research, 60: 313-26.
- Beak JY, Kang HS, Huang W, Myers PH, Bowles DE, Jetten AM, et al. (2019) The nuclear receptor RORalpha protects against angiotensin II-induced cardiac hypertrophy and heart failure. American journal of physiology Heart and circulatory physiology, 316: H186-200.
- Beak JY, Kang HS, Huang W, Deshmukh R, Hong SJ, Kadakia N, et al. (2021) The nuclear receptor RORalpha preserves cardiomyocyte mitochondrial function by regulating caveolin-3-mediated mitophagy. J Biol Chem, 297: 101358.
- Wang Y, Kumar N, Nuhant P, Cameron MD, Istrate MA, Roush WR, et al. (2010) Identification of SR1078, a synthetic agonist for the orphan nuclear receptors RORalpha and RORgamma. ACS chemical biology, 5: 1029-34.
- Sun H, Wang J, Que J, Peng Y, Yu Y, Wang L, et al. (2019) RNA sequencing revealing the role of AMP-activated protein kinase signaling in mice myocardial ischemia reperfusion injury. Gene, 703: 91-101.
- Kim D, Langmead B, Salzberg SL (2015) HISAT: a fast spliced aligner with low memory requirements. Nature methods, 12: 357-60.
- Okuda S, Yamada T, Hamajima M, Itoh M, Katayama T, Bork P, et al. (2008) KEGG Atlas mapping for global analysis of metabolic pathways. Nucleic acids research, 36: W423-6.
- Livak KJ, Schmittgen TD (2001) Analysis of relative gene expression data using real-time quantitative PCR and the 2(- Delta Delta C(T)) Method. Methods, 25: 402-8.
- Vale C, Neves JS, von Hafe M, Borges-Canha M, Leite-- Moreira A (2019) The Role of Thyroid Hormones in Heart Failure. Cardiovascular drugs and therapy, 33: 179-88.
- Vargas-Uricoechea H, Bonelo-Perdomo A, Sierra-Torres CH (2014) Effects of thyroid hormones on the heart. Clinica e investigacion en arteriosclerosis: publicacion oficial de la Sociedad Espanola de Arteriosclerosis, 26: 296-309.
- Chen L, Wu L, Zhu L, Zhao Y (2018) Overview of the structure-based non-genomic effects of the nuclear receptor RXRalpha. Cellular & molecular biology letters 23: 36.
- Sherman SI, Gopal J, Haugen BR, Chiu AC, Whaley K, Nowlakha P, et al. (1999) Central hypothyroidism associated with retinoid X receptor-selective ligands. The New England journal of medicine, 340: 1075-9.
- Vargas-Uricoechea H, Sierra-Torres CH (2014) Thyroid hormones and the heart. Hormone molecular biology and clinical investigation, 18: 15-26.
- Dong J, Gao C, Liu J, Cao Y, Tian L (2016) TSH inhibits SERCA2a and the PKA/PLN pathway in rat cardiomyocytes. Oncotarget, 7: 39207-15.
- de Vera IMS, Zheng J, Novick S, Shang J, Hughes TS, Brust R, et al. Synergistic Regulation of Coregulator/Nuclear Receptor Interaction by Ligand and DNA. Structure 2017; 25(10):1506-1518 e1504.
- Campo Verde Arbocco F, Sasso CV, Nasif DL, Hapon MB, Jahn GA (2015) Effect of hypothyroidism on the expression of nuclear receptors and their co-regulators in mammary gland during lactation in the rat. Molecular and cellular endocrinology, 412: 26-35.
- Billon C, Sitaula S, Burris TP (2016) Inhibition of RORalpha/gamma suppresses atherosclerosis via inhibition of both cholesterol absorption and inflammation. Molecular metabolism, 5: 997-1005.
Artcle Information
Review Article
Received Date: July 06, 2025
Accepted Date: July 23, 2025
Published Date: July 30, 2025
Journal of Cardiovascular Research and Heart Valve Disease
Volume 1 | Issue 1
Citation
Runmei Zou, MD, Hong Cai, MD, Yuwen Wang, MM, Cheng Wang, MD (2025) The Role of RORα/γ Agonist SR1078 in Reversing Cardiac Hypertrophy Through Thyroid Hormone Signaling in NRVMs. J Cardiovasc Res Heart Valve Dis 1: 105
Copyright
©2025 Cheng Wang, MD. This is an open-access article distributed under the terms of the Creative Commons Attribution License, which permits unrestricted use, distribution, and reproduction in any medium, provided the original author and source are credited.
doi: jcrh.2025.1.105

