Review Article
Volume-1 Issue-2, 2025
Dried tomato slices: An approach to increase safety and shelf-Life of by the use of Lactobacillus plantarum
-
Received Date: June 02, 2025
-
Accepted Date: June 20, 2025
-
Published Date: June 27, 2025
Journal Information
Abstract
Lactic acid fermentation provides a natural means to improve technological and nutritional quality of foods. The objectives of this study were to determine the impact of the bioadhesion of L. plantarum on the microbial quality, the physicochemical proprieties and the antioxidant activity of tomato slices during 7 days of drying. The adhesion of L. plantarum to the tomato slices was explored by enumeration of viable cells, identification and ESEM microscopy. The assessment of adhesion of L. plantarum at different contact times has shown a higher increase in the number of L. plantarum adhering, which improved over 7.5 Log CFU/g DM after 7 days of drying. The ESEM observation showed also that tomato surface was covered by a compact biofilm of L. plantarum approved by microbiological identification. A reduction of the undesirable microorganisms such as total coliform , yeast and fungi was also detected. The physicochemical analyses revealed that L. plantarum adhesion decreased water loss on the tomato slices. Furthermore, after 7 days of drying, treated tomato exhibited a good capacity to preserve the antioxidant contents and consequently their antioxidant activity. Overall, the use of L. plantarum is an efficient approach to increase safety and shelf-Life of dried tomato slices.
Key words
Dried tomato; L. plantarum; Food Biopreservation; ESEM; antioxidant capacity
|
||||||||
Parameters |
||||||||
Days |
Treatement |
Dry mattera |
pHa |
Total sugarsa |
Rehydration |
BI a |
||
Day 1 |
Control tomato |
89.11±1.12 |
5.66±0.08 |
1.81±0.09 |
nd |
28.56±1.23 |
||
Inoculated tomato |
93.77±0.14 |
5.09±0.54 |
1.75±0.14 |
nd |
28.12±1.04 |
|||
Day 3 |
Control tomato |
67.45±0.49 |
5.42±0.13 |
1.50±0.21 |
nd |
31.25±0.45 |
||
Inoculated tomato |
57.06±2.01 |
4.10±0.69 |
1.21±0.13 |
nd |
30.14±0.98 |
|||
Day 5 |
Control tomato |
33.23±0.91 |
5.39±0.54 |
1.29±0.11 |
nd |
37.25±0.23 |
||
Inoculated tomato |
76.54±1.36 |
3.12±0.14 |
0.49±0.09 |
nd |
34.63±0.50 |
|||
Day 7 |
Control tomato |
8.62±1.59 |
5.35±0.36 |
0.96±0.02 |
3.16±0.40 |
44.52±0.17 |
||
Inoculated tomato |
18.32±1.30 |
3.07±0.19 |
0.02±0.001 |
2.12±0.12 |
35.02±0.58 |
|||
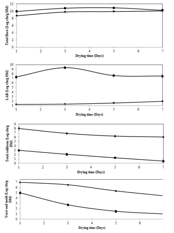
| Figure 1: : Impact of L.plantarum adhesion on the total flora (a); LAB (b); total coliform (c) and yeast and mold (d) counts of the non-treated (■) and the treated (■) tomato slices during 7 days of air-drying. Value represents mean ± SD (standard deviation) from triplicate measurements (n=3) of three different experiments. The error bars present a standard deviation |
| Figure 2: Images of L. plantarum cells that adhered to the surface of the tomato slices during air drying visualized using environmental scanning electron microscopy. Non-inoculated tomato slices (a), inoculated tomato slices with L. plantarum after 3 (b); 5 (c) and 7 days (d) of drying |
| Figure 3: Visual aspects of untreated (a) and treated tomato tomato slices (b) after 7 days of air-drying |
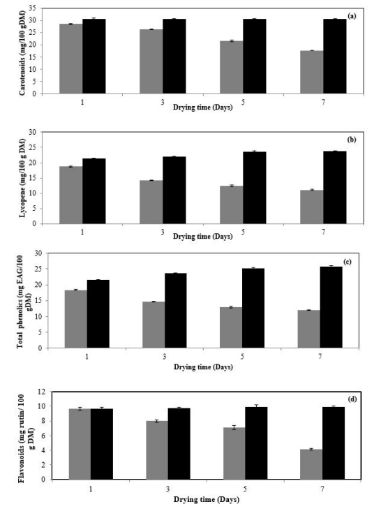
| Figure 4: mpact of L. plantarum adhesion on carotenoids (a), lycopene (b), total phenolic and flavonoids (d) contents of tomato slices during 7 days of drying. Non-inoculated tomato slices (-■-); inoculated tomato slices (-■-).Value represents mean ± SD (standard deviation) from triplicate measurements (n=3) of three different experiments. The error bars present a standard deviation |
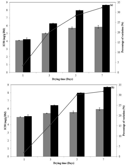
| Figure 5: Impact of L. plantarum adhesion on the antioxidant activity of tomato slices during 7 days of drying by DPPH (a) and ABTS (b)methods and the percentages of variation (-■-). Non-inoculated tomato slices (-■-); inoculated tomato slices (■).Value represents mean ± SD (standard deviation) from triplicate measurements (n=3) of three different experiments. The error bars present a standard deviation |
Introduction
Vegetables and fruits are very important in human nutrition requirements as major sources of vital nutrients such as vitamins, minerals and fibers [1,2]. Scientific studies encouraged the consumption of Vegetables and fruits to prevent the risk of coronary heart disease, stroke and certain types of cancer [3,4]. Tomato belongs to the Solanaceae family is the second largest vegetable both in terms of production and consumption [5]. Tomato could be considered as an important functional food as it contains a number of antioxidants such as carotenoids, flavonoids, phytosterols, polyphenols and ascorbic acid [6,7]. By the way, tomato and tomato-based products contribute to human health by the by the content of the mentioned antioxidants [6]. However, they are classified as highly perishable products containing above 80% of water [2] needing industrial processing in order to improve their shelf-life and to maintain their nutritional qualities [8]. In this case, drying is a processing method whereby water elimination prevents the proliferation of pathogenic microorganisms [2]. In addition, the use of functional microorganisms is a natural and mild bioprocessing technology that can keep and/or enhance the safety, nutritional, sensory and shelf life properties of vegetables and fruits [9-12]. Lactic acid bacteria (LAB), used for hundreds of years for feed and food fermentation, are frequently taken up in the biopreservation of milk, meat, fish, vegetables and cereals13,14,15. Among lactic acid bacteria, L. plantarum, account the most predominant species usually found in fermented vegetables due to its ability to resist to their high saline and acidity contents [15], mainly cucumber, sauerkraut, and olive. L. plantarum were used for their technological and functional properties include probiotics properties [16,17], antimicrobial propertiesn [18], antioxidant properties [13,20], peptide production [21], degradation of anti-nutritive compounds [22], etc. Recently, biofilms of lactic acid bacteria have received considerable attention due to their ability to inhibit some pathogenic bacteria through the changes physicochemical properties of cell surface [14,23]. The capacity of different bacterial species to form biofilms has been studied and observations indicate that they use diverse abiotic surfaces to support them (mainly polystyrene or glass). Furthermore, their ability to inhibit some pathogenic bacteria has been reported in previous studies13. In addition, L. plantarum application during the olive oil process enhances the antioxidant activity by the preservation of olive phenolic compounds [23]. However, for the best of our knowledge, limited or none study concerning the characterization of the preservative L. plantarum biofilm formation on dried tomato slices qualities has been published previously. Therefore, the aims of this work were to study the bioadhesion of L. plantarum on tomato surface during 7 days of drying and to evaluate the impact of the protective film on the physicochemical proprieties and the antioxidant activity of the new adhered surface.
Materials and Methods
Materials
Tomato
Fresh red tomatoes used in this study were from the variety Heinz 8892. Samples were washed, drained and then were cutted in slices of 1 cm of thickness using an electric slicing machine.
L. plantarum culture
The strain L. plantarum used in this work was isolated from fermented olives [13]. L. plantarum was selected and identified by API 50 CHL kit (biomérieux Inc., Marcy l’Etoile, France) and 16s rDNA sequencing analysis. Then, cells of cultivated microorganisms on MRS broth (Man, Rogosa and Sharpe) were harvested by centrifugation after 18 h of incubation at 37°C (6000 x g, 15 min, 4°C). The cell pellets were then washed twice with deionized water. Cells were resuspended in sterile saline water (0.9%). Bacterial suspension was then used to inoculate the tomato slices with 2 106 CFU/g.
L. plantarum adhesion procedure
The samples of tomato slices were divided into two groups: the first one was inoculated with L. plantarum (2 106 CFU/g) and the second was used as a control before drying. Non-adhered and adhered tomato slices were then subjected to air drying in a solar dryer at 45°C with airflow of 5.8 m/s for 7 days. The dryer includes a fan, two electrical resistances and a cavity with three perforated trays (30 × 15 cm). Perforations allow the free passage of air, thus enabling the drying of both sides of the samples.
Evaluation of L. plantarum adhesion
The number of cells adhered to the tomato slices were evaluated after 1, 3, 5 and 7 days of drying. 10 g of tomato slices were taken from each group (treated and untreated groups). Then, the samples were covered in 90 ml of the dilution medium which was 1% peptone water, to remove the planktonic cells followed by the removal of the adhered cells using previously sterilized standardized swabs. The swabs were transferred to test tubes containing 10 ml of dilution medium and stirred for one minute.
For total flora counts, the aliquots of each dilution were plated on PCA (Plat Count Agar) and incubated at 30°C for 72 h. For a LAB (Lactic Acid Bacteria) counts, the samples were plated on MRS Agar and incubated at 37°C for 48 h. Yeasts and moisture were determined using Sabouraud agar medium with chloromphenicol incubated for 48 to 72 h at 30°C. For coliformic bacteria counts, the samples were placed on desoxycholate agar and incubated at 37°C for 48 h.
Identification of lactic acid bacteria
The identification of Lactic acid bacteria was conducted by morphological tests, biochemical and physiological and carbohydrate fermentation profiles were determined using specific API 50CHL (Api system, Biomerieux, France). The identification of Yeasts was piloted using carbohydrates assimilation tests (Api CAux).
Environmental Scanning Electron Microscopy analysis (ESEM)
At 0, 3, 5 and 7 days of treatment, to remove non-adherent cells, adhered tomato slices were rinsed by three consecutive rinses with sterile distilled water. Then, samples were observed using Environmental Scanning Electron Microscopy (ESEM Quanta 200) equipped with a tungsten filament (FEI) [13]. The signal was collected using a Gaseous Secondary Electron Detector (GSED).
Analysis methods
Phytochemical analysis
The dry matter content of tomato samples was conducted by drying the samples (10 g) for 24 h at 105°C to a constant mass24. Tomato pH was measured after homogenization by a pH meter (CrisonMicro pH 2001, Crison Instruments, Barcelona, Spain) after calibration with two solutions, pH 4 and 7. The colour intensity was evaluated with a hand-held Tristimulus reflectance colorimeter (Spectrocolorimetre mobile color-test/ Erichsen SARL). Colour was recorded using the CIE- L*a*b* uniform colour space (CIE-Lab), where L* indicates lightness, a* indicates chromaticity on a green to red axis, and b* chromaticity on a blue to yellow axis. The rehydration capacity was determined by the impregnation of 2 g of the dried sample placed in a 250 ml laboratory glass, in a 150 ml of distilled water. The glass was covered and heated to boil within 3 minutes and then the content of the laboratory glass was gently boiled for 10 more min and then cooled. The cooled content was filtered for 5 min under vacuum and weighed. The dehydration ratio was calculated as follows:
Bioactive compounds analysis
1g of samples was extracted with 50 ml of methanol (80% (v/v)) at 25°C at 150 rpm for 24 h for the preparation of the methanolic extracts. The extracts were filtered through Whatman N°4 paper and stored at 4°C for the analysis of phenolics and flavonoids. Total phenolic content of the sample was measured using a modified Folin-Ciocaltau calorimetric method [25]. The flavonoid content was measured using a colorimetric assay developed by LuximonRamma et al. [26]. Carotenoids were extracted according to Sass-Kiss et al [27]. method. Lycopene content was determined according to Sadler et al[28].
Quantification of the antioxidant activity
The DPPH radical scavenging capacity was measured according to Sun & Ho [29]. The ABTS radical cation decolourization assay was determined according to the method of Re et al [30]. The sample concentration providing 50% inhibition (IC50) was calculated from the graph plotting inhibition percentage against extract concentration.
Statistical analysis
Statistical analyses were carried out using STAT GRAPHICS Centurion XV. Statistical differences were determined using ANOVA followed by Least Significant Difference (LSD) testing. Differences were considered statistically significant when p< 0.05.
Results and discussion
Evaluation of L. plantarum adhesion to the tomato slices surface
The adhesion of L. plantarum to the tomato slices was evaluated using the enumeration of viable cells, the identification by specific API 50CHL and by the Environmental Scanning Electron Microscopy analysis (ESEM) during the drying process. The assessment of the adhesion of L. plantarum to the tomato slices at different times of contact has shown a higher increase in the total number of L. plantarum adhering, which increased over 7.49 Log CFU/g DM after 7 days of drying (Fig. 1b). Significant differences (p< 0.05) in the LAB counts between the control and the treated samples were seen at the different time of drying. In addition, after inoculation of tomato slices with L. plantarum, the cell concentration of total flora was increased to 10.10 Log CFU/g DM (Fig. 1a). However, the control slices showed an amount of 10.23 Log CFU/g DM of total flora (Fig. 1a). Results revealed also that the levels of total coliform and of yeast and fungi decreased significantly with the inoculation of L. plantarum (Fig.1 c,d). In fact, the increase observed in the total flora and the decrease in the total coliform and in yeast and fungi confirmed the adhesion of L. plantarum to the tomato slices surface. Regarding the Environmental Scanning Electron Microscopy (ESEM) analysis, the images obtained established the bioadhesion of L. plantarum on the tomato slices surface after 3 day of drying (Fig. 2). The ESEM observation showed also that tomato surface was covered by an uniform and compact biofilm (Fig. 2b) constituting by two structures of organisms with bacilli and some cocci, revealed by the microbiological identification, corresponded respectively to L. plantarum and to yeast. The observations revealed also that the biofilm formed from 3 to 7 days of air drying had the same morphological characteristics and the biofilm’s volume increased during storage (Fig. 2b & c). The adhesion may be due to the correlation found between cell surface hydrophilicity of L. plantarum and its ability to adhere to the surface of tomato slices. In this case, researchers approved that bacterial adhesion and interactions to surfaces are a composite phenomena engaging the balance between them depends on the bacterium, the host surface and environmental conditions [31]. Moreover, the bacterial adhesion is controled by a long range forces (such as electrostatic interactions), and by short range forces (such as Van derWaals, acid–base, hydrogen bonding and biospecific interactions) [13,31]. In fact, L. plantarum is a flexible bacterial species founded in a variety of environmental niches [32], has been used by the food industry for centuries for the production of dairy, meat and vegetable products [33]. Biofilm formation by L. plantarum has been studied mostly on dairy [31] and cereals products [34]. However, the number of studies with focus on the adhesion of lactic acid bacteria on vegetable and their beneficial effects is limited. Kachouri et al [13]. displayed the protective impactof L. plantarum on olive surface during the storage period. In agreement with our results, authors showed that the assessment of the adhesion of L. plantarum to olive at different contact times has shown a higher increase in the total number of L. plantarum adhering. After 4 days of storage, the ESEM observation revealed that olive surface was covered by a compact biofilm constituting by L. plantarum and yeast, confirmed by microbiological identification [13]. Besides, a reduction of the undesirable microorganisms (such as yeasts and fungi) has been shown which could be result for nutrient and oxygen competition or physicochemical properties modifications of olive. Fernández Ramírez et al[33]. confirmed the ability of L. plantarum to create a low and high density biofilms on materials applicable in the food industry. Besides, LAB also presents a challenge to food industry as they can be related as spoilage microorganisms in a large variety of products. By the way, Dalié et al35. confirmed that the use of lactic acid bacteria and their metabolites to control mould development and mycotoxin accumulation appears to be a promising biocontrol strategy in perishable foods. This is in agreement with the study of Yassa [36] and Kachouri et al [37]. which reported that L. plantarum inhibit fungal growth and AFB1 production. According to the literature, three mechanisms may explain the antimicrobial performance of LAB: the yield of organic acid, the competition for nutrients and the production of antagonistic compounds38. As reported by Leroy & De Vuyst [39] LAB produce several natural antimicrobials, including organic acids (lactic acid, acetic acid, formic acid, phenyllactic acid, caproic acid), carbon dioxide, hydrogen peroxide, diacetyl, ethanol, bacteriocins, reuterin, and reutericyclin. Acetic acid, for instance, contributes to the aroma and prevents mould spoilage. Bacteriocins from LAB are low-molecular-mass peptides or proteins with an antibacterial mode of action restricted to related Gram-positive bacteria [39]. Several species (Lactococcuslactis subsp. lactis, Lc. lactis subsp. cremoris, Lc. lactis subsp. diacetylactis, Lactobacillus acidophilus, Lactobacillus plantarum and Lactobacillus curvatus) are able to synthesize the bacteriocins, whose activity is only directed against closely taxonomically-related bacteria [38]. In addition, Bacteriocin- producing LAB can be applied for food preservation because of their microbiological, physiological and technological advantages [39].
Modification of phytochemical properties of dried tomato slices by L. plantarum adhesion
In order to estimate the effect of L. plantarum adhesion on the phytochemical properties of dried tomato slices, the dry matter, pH, total sugars, rehydration capacity and color were determined (Table 1). Obtained results showed that control samples after 7 days of drying exhibited a dry matter value close to 18.32%, twice as much than the dry matter value of the inoculated samples with L. plantarum (8.62%). Our results are in agreement with the findings of Pereira et al [40]. who studied the impact of whey protein coating incorporated with Bifidobacterium and Lactobacillus on sliced ham properties. The authors revealed that the application of a edible coating for sliced ham enables decreased water and weight loss on the sample surface throughout the storage contributing to product freshness [28]. Further else, Tavera-Quiroz et al [41]. observed the same behavior when they coated apple snacks with edible films functioned with L. plantarum CIDCA 83114. Results showed that the snacks baked at 140 °C for 30 min without any coating (controls) exhibited a moisture content close to 1.78%. While, the moisture content for the snack containing bacteria was about 3%. In addition, this value was stable after 90 days of storage41. This finding could be explained by the formation of a barrier limiting the water exudation through the adhesion of L. plantarum to the tomato slices surface and the creation of uniform and compact biofilm. The pH analysis showed that the application of L. plantarum lead to significant changes (p< 0.05) compared with the control samples (Table 1). The bioadhesion conducted to the acidification of the tomato slices, decreasing its pH value from 5.09 to 3.09 after 7 days of drying (Table 1). In fact, the pH decrease correlated with the extent of LAB growth. The pH drop may be related to the lactic acid production which was higher in the treated samples after 7 days of the drying process. According to Sharma & Mishra [42], LAB meet their energy requirements for growth by producing lactic acid. Similar results were obtained by Juvonen et al [17]. studied the fermentation effect with exopolysaccharide on rheological, chemical and sensory properties of pureed carrots (Daucus carota L.). The results established that the lowest pH values (3.7) were measured from the carrot samples treated with Lc. mesenteroides strains [17]. Correlated with the pH drop, it is clear that the application of L. plantarum favors the drop of total sugar levels (Table 1). In fact, the concentration of sugars decreased in the inoculated samples (0.02 g/100g DM) more than the control samples (0.96 g/100g DM) after drying. Di Cagno et al [43]. approved that fermented vegetables (carrots, French beans and marrows) with selected autochthonous starters (L. plantarum M1, Leuc. mesenteroides C1 and P. pentosaceus F4) showed a rapid decrease of pH, marked consumption of fermentable carbohydrates, and inhibition of Enterobacteriaceae and yeasts. Therefore, we can note that L. plantarum may have preferably used sucrose as an energy source for the production of metabolites. Regarding the rehydration capacity, we can note that the application of L. plantarum before drying affected significantly the textures of tomato slices compared to the untreated (Table 1). This is probably due to the edible coating formed by L. plantarum which improve texture and mechanical integrity of dried tomato slices. Juovonene et al [17]. observed similar behavior when treating the carrot with Lc. lactis E-032298, Lc. mesenteroides E-093126 and W. confusa E90392. Besides texture, the fermentation of tomato slices with L. plantarum touched the colour changing of the treated samples expressed using the Browning Index (BI), obtained from the L*a*b* values (Table 1). The bioadhesion of LAB preserves the tomato slices colour since the first day of drying, followed by a slow improvement by the end of the experiment. Therefore, the inoculated tomato slices had brighter colour appearance than of the control slices. Indeed, a lower BI value (35.02) was observed upon the addition of films containing microorganisms compared to the control samples (44.52) after 7 days of drying. The visual observation of untreated and treated tomato slices showed that the L. plantarum application contributing to product freshness (Fig. 3). These results were in good agreement with those reported previously by Tavera-Quiroz et al [41].
Improvement of the antioxidant potential of dried tomato slices by L. plantarum adhesion
As a result of the modification of phytochemical properties of dried tomato slices by L. plantarum adhesion, the antioxidants such as carotenoid, lycopene, total phenolic and flavonoids contents changed also. Hence, quantification of the bioactive compounds and of the antioxidant potential has been conducted. Results revealed that the antioxidants contents of the control sample lead to decrease significantly during the drying process (Fig. 4). However, application of L. plantarum before the dehydration of tomato slices preserves and improves the antioxidants contents. In fact, according to Fig. 4, after 7 days of drying, treated tomato slices contain respectively 30.52 mg/100 g DM; 23.79 mg/100 g DM; 25.79 mg GAE/100 g DM and 9.92 mg rutin/100 g DM of carotenoids, lycopene, phenolic contents and flavonoids. The effectiveness of the bioadhesion of L. plantarum was notable for all studied bioactive compounds with percentages of augmentation more than 50% compared to the control sample (Fig. 4). As the preservation of the antioxidant potential of the vegetable was related to the antioxidant contents, a quantification of the anti-radical activity of the treated and the untreated samples has been conducted. For this reason, two in vitro tests were used namely the DPPH free radical-scavenging test and the ABTS radical cation decolorization assay during the drying (Fig. 5). The DPPH test displayed that the untreated tomato slices showed the most significant drop of the antioxidant activity with a value of 8.65 mg/g of IC50 after 7 days of drying (Fig. 5a). The antioxidant analysis by the ABTS•+ scavenging capacity confirmed our previous results. IC50 in this assay was decreased from 5.06 mg/g to 8.73 mg/g after 7 days of drying (Fig. 5b). While, the application of L. plantarum favours the preservation of the antioxidant activity after 7 days of drying respectively with 32.36% and 31.81% as determined by DPPH and ABTS assays compared to the untreated samples. This finding is consistent with the results of the Kachouri et al [13]. Authors revealed that the application of L. plantarum during storage of olive fruits allowed to the improvement of the antioxidant activity and of the amount of total phenolic compounds. In fact, L. plantarum adhesion could probably induce the insufficiency of oxygen supply to the olive surface, resulting in inhibit fungal growth and AFB1 production [13]. Shah & Singhal [44] indicated also that the use of starter cultures of L. plantarum and L. mesenteroides were better for rapid acidification, microbiological quality, an antioxidant potential and sensory quality of the fermented leeks. Di Cagno et al [43]. confirmed that lactic acid bacteria starters completely exploit the potential of vegetables and fruits, which enhances the hygiene, sensory, nutritional and shelf life properties. They showed that tomato juices fermented with L. plantarum strains has the highest contents of ascorbic acid, glutathione and total antioxidant activity during storage.
Conclusion
The application of microorganisms with functional properties is a new challenge to increase safety and shelf-Life of functional foods. In the present work, we coated tomato slices with a film containing probiotic microorganisms (L. plantarum) before the drying process. Based on reported results, the antimicrobial edible coatings inhibited the growth of spoilage bacteria. Furthermore, probiotic bacteria numbers achieved high and constant levels of 7.5 Log CFU/g DM after 7 days of drying. The phytochemical results demonstrated that the application of L. plantarum enables decreased water loss on the tomato surface throughout drying contributing to product freshness. Furthermore, a color and pH changes between uncoated and coated slices of tomato were detected, assuring the expected quality. A preservation of the antioxidant potential of the coated tomato slices was detected during 7 days of drying, related to the improvement of the bioactive compounds namely carotenoid, lycopene, total phenolic and flavonoids. Overall, the application of L. plantarum is an efficient means to enhance the quality and to expect the shelf-life of dried tomato slices.
References
- Boeing H, Bechthold A, Bub A, Ellinger S, Haller D et al, vegetables and fruit in the prevention of chronic diseases, Eur J Nutr , 51 (2012) 637-663.
- Gabriel-Dănuț M, Viorela N O, Georgeta A D, Liliana C, Dima G L et al, Effects of drying methods on quality parameters of potato and red beetroot purée with Lactobacillus delbrueckii, J Food Nutr Res, 59 (2020) 23-34.
- Dauchet L, Amouyel P, Hercberg S & Dallongeville J, Fruit and vegetable consumption and risk of coronary heart disease: a meta-analysis of cohort studies, J Nutr, 136 (2006) 88-93.
- Hartley L, Igbinedion E, Holmes J, Flowers N, Thorogood M et al, Increased consumption of fruit and vegetables for the primary prevention of cardiovascular diseases, Cochrane Database Syst Rev, 6 (2013).
- FAO, Food and Agriculture Organization of the United Nations (2016).
- Domínguez R, Gullón P , Pateiro M , Munekata P E S, Wangang Z et al, Manuel Lorenzo Tomato as Potential Source of Natural Additives for Meat Industry, Antioxidants, 9 (2020) 73.
- Gutierrez V & Evelyn E, An overview of recent studies of tomato (Solanum Lycopersicum spp) from a social, biochemical and genetic perspective on quality parameters. Alnarp. Ntroductory, paper presented in Hort and Crop Production Sci, Faculty of Landscape Architecture, North America, 2018.
- Singh A & Singh A K, Horti-business 2011, 131-135.
- Park KY & Kim BH, in: Lactic Acid Bacteria: Microbiological and Functional Aspects, fourth edn, edited by Von Wright A (Boca Raton, USA) 2011, 187-212.
- Freire A L, Ramos C L & Schwan R F, Microbiological and chemical parameters during cassava based-substrate fermentation using potential starter cultures of lactic acid bacteria and yeast, Food Res Int, 76 (2015) 787-795.
- Kour D, Rana K L, Kaur T, Yadav N, Yadav A N et al, New and Future Developments in Microbial Biotechnology and Bioengineering (Elsevier, India) 2019, 283-301.
- Agrawal D G & Sandhu S S, Antibacterial and fibrinolytic potential of Himalayan soft gold mushroom Cordyceps sinensis, Indian J Biotechnol, 19 (2020) 38-44.
- Kachouri F, Ksontini H, El Abed S, Ibnsouda Koraichi S, Meftah H et al, Lactobacillus plantarum: impact of protective biofilm on olive surface during storage, Braz J Microbiol, 47 (2016) 202–209.
- Behera S S, Ray R C & Zdolec N, Lactobacillus plantarum with Functional Properties: An Approach to Increase Safety and Shelf-Life of Fermented Foods, BioMed Res Int, 2018.
- Marín A , Plotto A , Atarés L, & Chiralt A, Lactic Acid Bacteria Incorporated into Edible Coatings to Control Fungal Growth and Maintain Postharvest Quality of Grapes, HortScience, 54 (2019) 337-343.
- Hill C, Guarner F, Reid G, Gibson G R, Merenstein D J et al, The International Scientific Association for Probiotics and Prebiotics consensus statement on the scope and appropriate use of the term probiotic, Nat Rev Gastroenterol Hepatol, 11 (2014) 506-514.
- Juvonen R, Honkapää K, Maina N H, Shi Q, Viljanen K et al, The impact of fermentation with exopolysaccharide producing lactic acid bacteria on rheological, chemical and sensory properties of pureed carrots (Daucus carota L.), Int J Food Microbiol, 207 (2015) 109-118.
- Sharma N & Gautam N, Antibacterial activity and characterization of bacteriocin of Bacillus mycoides isolated from whey, Indian J Biotechnol, 7 (2008) 117-121.
- Meira S M M, Daroit D J & Helfer V E, Bioactive peptides in water soluble extract of ovine cheese from southern Brazil and Uruguay, Food Res Int, 48 (2012) 322-329.
- Perna A, Intaglietta I, Simonetti A & Gambacorta E, Effect of genetic type and casein halotype on antioxidant activity of yogurts during storage. J Dairy Sci, 96(2013) 1-7.
- Mejia E G D & Dia V P, Lunasin and lunasin-like peptides inhibit inflammation through suppression of NF-kappaB pathway in the macrophage, Peptides, 30 (2009) 2388-98.
- Babalola O O, Cyanide content of commercial gari from different areas of Ekiti State, Nigeria. World J Nutri Health, 2(2014) 58-60.
- Kachouri F & Hamdi M, Use Lactobacillus plantarum in olive oil process and improvement of phenolic compounds content, J Food Eng, 77 (2006) 746-752.
- AOAC Official Methods of Analysis. Arlington, (2006).
- Boskon G, Salta F N, Chrysostomou S, Mylona A, Chiou A et al, Antioxidant capacity and phenolic profile of table olives from the Greek market, Food Chem, 94 (2006) 558-564.
- Luximon-Ramma A, Bahorum T, Crosier A, Zbarsky V, Datla K K et al, Characterization of the antioxidant functions of flavonoids and proanthocyanidins in Mauritian black teas, Food Res Int, 38 (2005) 357-367.
- Sass-Kiss A, Kiss J, Milotay P, Kerek M M & Toth-Markus M, Differences in anthocyanin and carotenoid content of fruits and vegetables, Food Res Int, 38 (2005) 1023-1029.
- Sadler G, Davis J & Dezman D, Rapid extraction of lycopene and carotene from reconstituted tomato paste and pink grapefruit homogenates, J Food Sci, 55 (1990) 1460-1461.
- Sun T & Ho C T, Antioxidant activities of buckwheat extracts, Food Chem, 90 (2005) 743-749.
- Re R, Pellegrini N, Proteggente A, Pannala A, Yang M, et al, Antioxidant activity applying an improved ABTS radical cation decolorization assay, Free Radic Bio Med, 26 (1999) 1231-237.
- Burgain J, Scher J, Francius G, Borges F, Corgneau M et al, Lactic acid bacteria in dairy food: Surface characterization and interactions with food matrix components, Adv Colloid Interface Sci, 213 (2014) 21-35.
- Esteban-Torres M, Mancheno J M, Rivas B D L & Munoz R, Characterization of a halotolerant lipase from the lactic acid bacteria Lactobacillus plantarum useful in food fermentations, LWT - Food Sci Technol, 60 (2014) 246-252.
- Fernández Ramírez M D, Smid E J, Abee T & Nierop Groot M N, Characterisation of biofilms formed by Lactobacillus plantarum WCFS1 and food spoilage isolates, Int J Food Microbiol, 207 (2015) 23-29. .
- Waldherr F W & Vogel R F, Commercial exploitation of homo-exopolysaccharides in nondairy food systems, in Bacterial Polysaccharides (Norfolk, UK) 2009, 313-329.
- Dalié D K D, Deschamps A M & Richard-Forget F, Lactic acid bacteria-Potential for control of mould growth and mycotoxins, Food Control, 21 (2010) 370-380.
- Yassa I A, Some factors affecting mold growth and aflatoxin production in olives, Ann Agri Sc, 40 (1995) 59-65.
- Kachouri F, Ksontini H & Hamdi M, Removal of Aflatoxin B1 and Inhibition of Aspergillus flavus Growth by the Use of Lactobacillus plantarum on Olives, J Food Prot, 77 (2014) 1760- 1767.
- Magnusson J, Ström K, Roos S, Sjögren J & Schnürer J, Broad and complex antifungal activity among environmental isolates of lactic acid bacteria, FEMS Microbiol Lett, 219 (2003) 129-135.
- Leroy F & De Vuyst L, Lactic acid bacteria as functional starter cultures for the food fermentation industry, Trends Food Sci Technol, 15 (2004) 67-78.
- Pereira J O, Soares J, Monteiro M J P, Gomes A & Pintado M, Impact of whey protein coating incorporated with Bifidobacterium and Lactobacillus on sliced ham properties, Meat Sci, 139 (2018) 125-133.
- Tavera-Quiroz M J, Romano N, Mobili P, Pinotti A, GómezZavaglia A et al, Green apple baked snacks functionalized with edible coatings of methylcellulose containing Lactobacillus plantarum, J fuct foods, 16 (2015) 164-173.
- Sharma V & Mishra H N, Unstructured kinetic modeling of growth and lactic acid production by Lactobacillus plantarum NCDC 414 during fermentation of vegetable Juices, LWT - Food Sci Technol, 59 (2014) 1123-1128.
- Di Cagno R D, Coda R, Angelis M D & Gobbetti M, Exploitation of vegetables and fruits through lactic acid fermentation, Food Microbiol, 33 (2013) 1-10.
- Shah N N & Singhal R S, Fermented Fruits and Vegetables, in Current Developments in Biotechnology and Bioengineering (US) 2017, 45-89.
Artcle Information
Review Article
Received Date: June 02, 2025
Accepted Date: June 20, 2025
Published Date: June 27, 2025
Journal of Foodscience Nutrition and Public Health
Volume 1 | Issue 2
Citation
Manel Mechmeche (2025) Dried tomato slices: An approach to increase safety and shelf-Life of by the use of Lactobacillus plantarum. J Food Sci Nutr Public Health 1: 201
Copyright
©2025 Manel Mechmeche. This is an open-access article distributed under the terms of the Creative Commons Attribution License, which permits unrestricted use, distribution, and reproduction in any medium, provided the original author and source are credited.
doi: jfnp.2025.1.201

